Для студентов ИДДО НИУ «МЭИ» по предмету Компьютерные сетиКМ-5. Компьютерные сети. Контрольная работа Вариант 6КМ-5. Компьютерные сети. Контрольная работа Вариант 6
4,99521914
2025-04-182025-04-19СтудИзба
💯Готовая работа КМ-5: Контрольная работа Курс Компьютерные сети🔥 Вариант 6
ДЗ КМ-5: КМ-5. Компьютерные сети. Контрольная работа Вариант 6 вариант 6
Описание
Курс Компьютерные сети - КМ-5. Контрольная работа.
ВАРИАНТ 6
➡️ Другие работы по курсу ⬅️
⭐ Помощь для другого варианта ⭐
Задание:
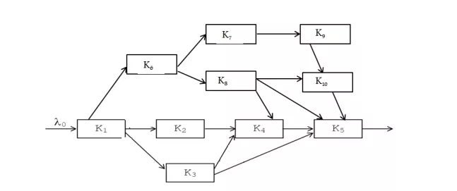
Задание 5 N- последняя цифра номера зачётной книжки.
Если переход осуществляется из одного узла в несколько, то вероятность перехода в узел с наименьшим индексом равна 0,06N+ 0.12, а вероятности перехода в остальные узлы равны. Составьте систему линейных уравнений для данной сети. Используя её, определите коэффициенты базовых интенсивностей.
➡️Любой предмет | Любой тест | Любая практика | ВКР (Диплом)⬅️
🗝️ ▶Помощь с сессией/долгами под ключ ◀ 🗝️
ВАРИАНТ 6
➡️ Другие работы по курсу ⬅️
⭐ Помощь для другого варианта ⭐
Задание:
Задание 5 N- последняя цифра номера зачётной книжки.
Если переход осуществляется из одного узла в несколько, то вероятность перехода в узел с наименьшим индексом равна 0,06N+ 0.12, а вероятности перехода в остальные узлы равны. Составьте систему линейных уравнений для данной сети. Используя её, определите коэффициенты базовых интенсивностей.

🗝️ ▶Помощь с сессией/долгами под ключ ◀ 🗝️
Характеристики домашнего задания
Предмет
Учебное заведение
Номер задания
Вариант
Теги
Просмотров
11
Качество
Идеальное компьютерное
Размер
14,82 Kb
Преподаватели
Список файлов
Новый документ (1) - Copy.docx

Гарантия сдачи без лишних хлопот! ✅🎓 Ответы на тесты по любым дисциплинам, базы вопросов, работы и услуги для Синергии, МЭИ и других вузов – всё уже готово! 🚀 🎯📚 Гарантия качества – или возврат денег! 💰✅