Для студентов МГТУ им. Н.Э.Баумана по предмету Интегралы и дифференциальные уравнения (ИиДУ)Дифференциальные уравненияДифференциальные уравнения
5,0051
2024-08-212025-05-19СтудИзба
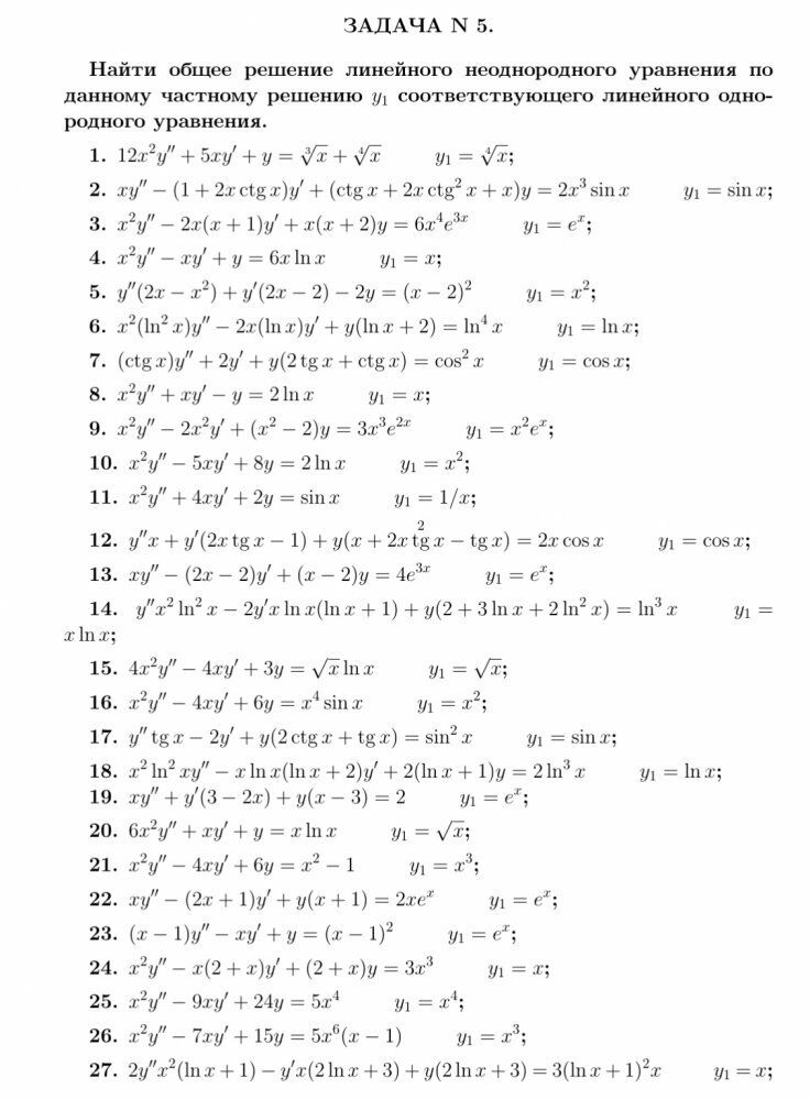
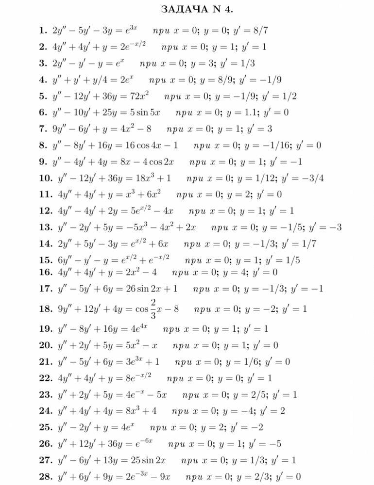
ДЗ 2: Дифференциальные уравнения вариант 13
-50%
Описание
Характеристики домашнего задания
Учебное заведение
Семестр
Номер задания
Вариант
Программы
Просмотров
45
Качество
Фото рукописных листов
Размер
3,24 Mb
Список файлов
ДЗ по ДУ.pdf
Если тебе помогла данная работа, поставь оценку ❤️
Комментарии
Нет комментариев
Стань первым, кто что-нибудь напишет!
МГТУ им. Н.Э.Баумана
bomonec



















