Для студентов МГТУ им. Н.Э.Баумана по предмету Интегралы и дифференциальные уравнения (ИиДУ)ДЗ-1 - Интегралы и дифференциальные уравнения - Вариант 5ДЗ-1 - Интегралы и дифференциальные уравнения - Вариант 5
5,0052
2024-04-292024-10-08СтудИзба
ДЗ 1: ДЗ-1 - Интегралы и дифференциальные уравнения - Вариант 5 вариант 5
-43%
Описание
Полностью зачтенное ДЗ по Интам, компьютерное качество файла.
Условия:
Задание 1:
Задание 2:
Задание 3:
Задание 4:
Задание 5:
Задание 6:
Задание 7:
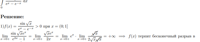
Решение:
Задание 1:
Задание 2:
Задание 3:
Задание 4:
Задание 5:
Задание 6:
Задание 7:
![]()
Условия:
Задание 1:







Задание 1:







Характеристики домашнего задания
Учебное заведение
Семестр
Номер задания
Вариант
Программы
Просмотров
33
Размер
819,43 Kb
Список файлов
Интегралы ДЗ1 вариант 6 2сем.pdf

Котики подняли настроение тебе, а поставив 5 звёзд на купленный файл, ты поднимешь его мне. Спасибо!