Для студентов МГТУ им. Н.Э.Баумана по предмету Интегралы и дифференциальные уравнения (ИиДУ)Дифференциальные уравненияДифференциальные уравнения
5,0052
2023-05-312023-05-31СтудИзба
Дифференциальные уравнения(максимальный балл)
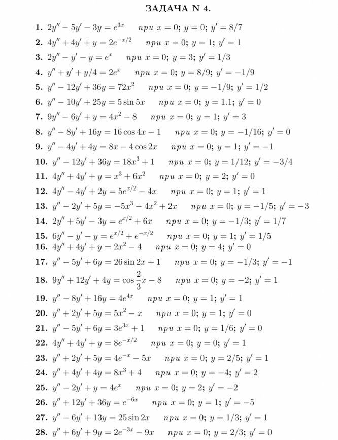
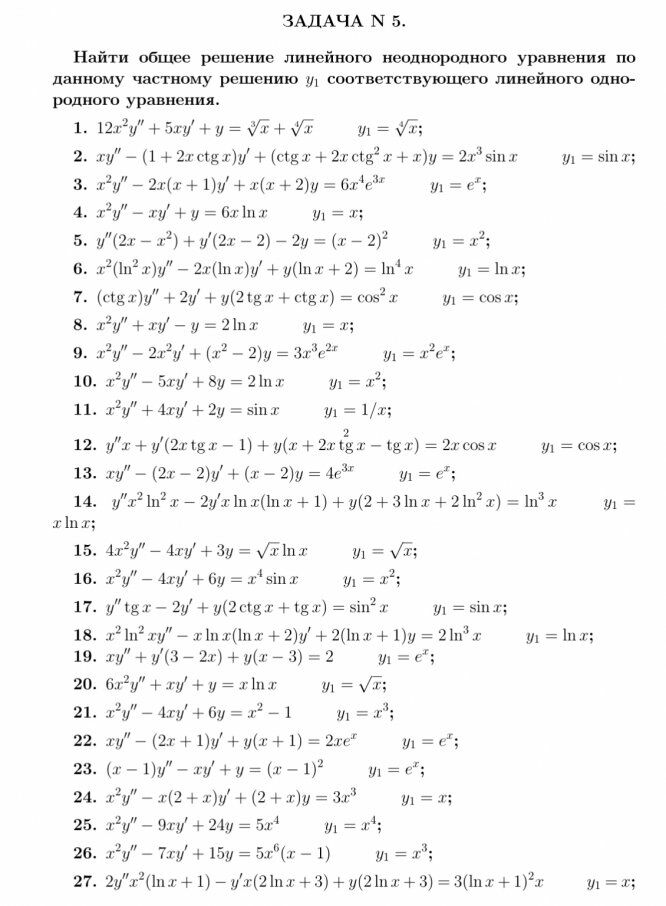
ДЗ 2: Дифференциальные уравнения вариант 5
Описание
Характеристики домашнего задания
Учебное заведение
Семестр
Номер задания
Вариант
Просмотров
60
Качество
Фото рукописных листов
Размер
9,09 Mb
Список файлов
IMG_8027.heic
IMG_8028.heic
IMG_8029.heic
IMG_8030.heic
IMG_8031.heic
Комментарии
Нет комментариев
Стань первым, кто что-нибудь напишет!
МГТУ им. Н.Э.Баумана



















