Для студентов МГТУ им. Н.Э.Баумана по предмету Интегралы и дифференциальные уравнения (ИиДУ)Дифференциальные уравнения высших порядковДифференциальные уравнения высших порядков
5,0052
2023-05-242025-02-11СтудИзба
Вариант 3 - ДЗ №2 - "Дифференциальные уравнения высших порядков" - 5 задач
ДЗ 2: Дифференциальные уравнения высших порядков вариант 3
-43%
Описание
Типовой расчет №2 по математическому анализу, "Дифференциальные уравнения", зачтено
Условие:
Задача 1:
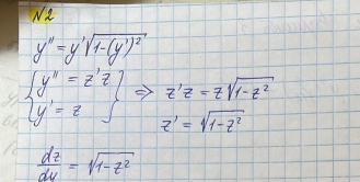
Задача 2:
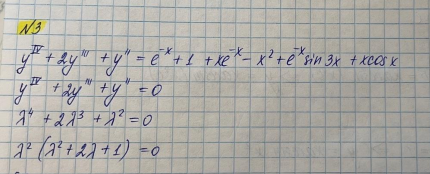
Задача 3:
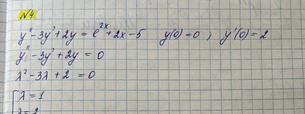
Задача 4:
Задача 5:
Показать/скрыть дополнительное описание
Условие:






Типовой расчет по интегралам МГТУ.
Характеристики домашнего задания
Учебное заведение
Семестр
Номер задания
Вариант
Просмотров
19
Качество
Фото рукописных листов
Размер
2,06 Mb
Список файлов
Вариант 3 Диффуры 2 368.pdf

Спасибо за покупку! Я буду очень рад, если поставишь справедливую оценку купленному файлу :3 Ищи больше работ в моём профиле, там много нужного тебе!