Для студентов МГТУ им. Н.Э.Баумана по предмету Интегралы и дифференциальные уравнения (ИиДУ)Приложение определенного интегралаПриложение определенного интеграла
5,0052
2022-04-062025-02-11СтудИзба
ДЗ 1: Приложение определенного интеграла вариант 13
-43%
Описание
Типовой расчет №1 по математическому анализу, "Определенный интеграл", зачтено
Условие:
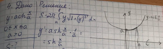
Примеры решения:
Условие:






Файлы условия, демо
Характеристики домашнего задания
Учебное заведение
Семестр
Номер задания
Вариант
Просмотров
38
Размер
2,01 Mb
Список файлов
Вариант 13 Инты 1 17.pdf

Спасибо за покупку! Я буду очень рад, если поставишь справедливую оценку купленному файлу :3 Ищи больше работ в моём профиле, там много нужного тебе!