Для студентов МГТУ им. Н.Э.Баумана по предмету Интегралы и дифференциальные уравнения (ИиДУ)Дифференциальные уравнения высших порядковДифференциальные уравнения высших порядков
5,005171
2021-05-242024-09-03СтудИзба
ДЗ 2: Дифференциальные уравнения высших порядков вариант 14
-66%
Описание
Вариант 14 - ДЗ №2 - Дифференциальные уравнения- ИУ, РЛ, БМТ, ФН12
Зачтено на максимальный балл 💥 💥 💥
Спасибо за покупку 🥰🥰🥰
Интегралы и дифференциальные уравнения (2-й семестр)


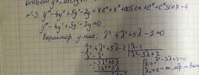
Задача 2

Задача 3

Задача 4

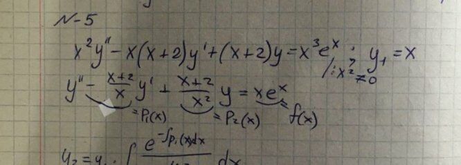
Задача 5

Характеристики домашнего задания
Учебное заведение
Семестр
Номер задания
Вариант
Просмотров
354
Размер
2,3 Mb
Список файлов
Вариант 14 - ДЗ №2 - Дифференциальные уравнения- ИУ, РЛ, БМТ, ФН12.pdf

Друзья, спасибо за доверие! Если вам понравилась работа – поставьте 5⭐ и напишите отзыв. Это поможет другим студентам, а мне даст силы делать ещё больше качественных материалов для вас 🔥
Комментарии

Отзыв
зачли все на максимум без вопросов, но там еще и препод пофигист был