Для студентов МГТУ им. Н.Э.Баумана по предмету Интегралы и дифференциальные уравнения (ИиДУ)Определенный интегралОпределенный интеграл
5,0054
2021-03-202021-03-20СтудИзба
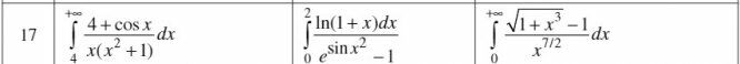
ДЗ 1: Определенный интеграл вариант 17
Описание
Характеристики домашнего задания
Учебное заведение
Семестр
Номер задания
Вариант
Просмотров
82
Качество
Скан рукописных листов
Размер
3,96 Mb

МГТУ им. Н.Э.Баумана

















