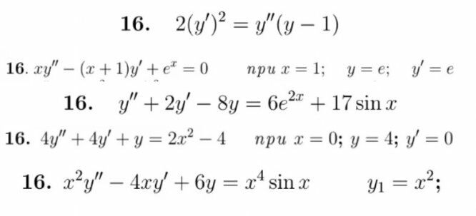
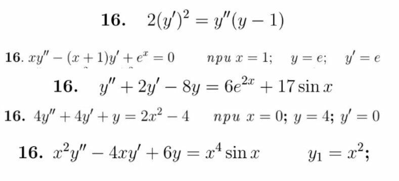
ДЗ 2: Дифференциальные уравнения вариант 16
Описание
В файле ДЗ-2 дифференциальные уравнения для СМ 6 задач(условие ниже) , почерк понятный. Типарь зачтён.
![]()
Характеристики домашнего задания
Учебное заведение
Семестр
Номер задания
Вариант
Просмотров
56
Качество
Фото рукописных листов
Размер
14,54 Mb
Список файлов
Комментарии
Нет комментариев
Стань первым, кто что-нибудь напишет!
МГТУ им. Н.Э.Баумана


















