Для студентов МГТУ им. Н.Э.Баумана по предмету Интегралы и дифференциальные уравнения (ИиДУ)Определенный интегралОпределенный интеграл
5,005131
2020-06-272020-06-27СтудИзба
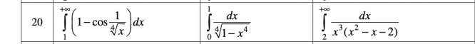
ДЗ 1: Определенный интеграл вариант 20
Описание
Характеристики домашнего задания
Учебное заведение
Семестр
Номер задания
Вариант
Просмотров
151
Размер
2,98 Mb
Список файлов
Типовик по определенным.pdf
Комментарии
Отзыв
+
МГТУ им. Н.Э.Баумана
vk_196639225



















