Для студентов МГТУ им. Н.Э.Баумана по предмету Интегралы и дифференциальные уравнения (ИиДУ)Дифференциальные уравненияДифференциальные уравнения
5,0052
2020-06-012020-06-01СтудИзба
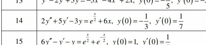
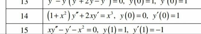
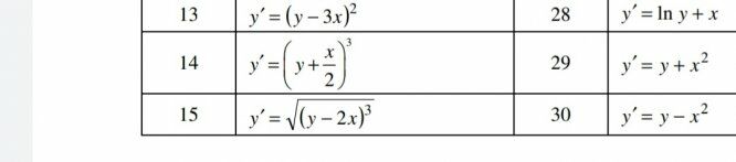
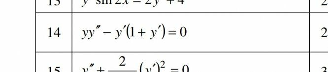
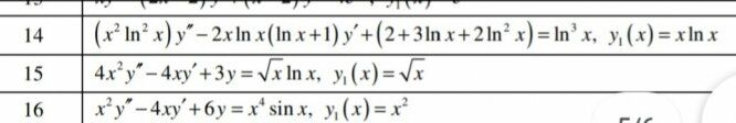
ДЗ 2: Дифференциальные уравнения вариант 14
Описание
В номерах 1-5 выполнена проверка, 6 на миллиметровке с анализом области Коши, областей монотонности и выпуклости интегральных кривых (зачел Журавлев)
![]()
Характеристики домашнего задания
Учебное заведение
Семестр
Номер задания
Вариант
Просмотров
163
Качество
Фото рукописных листов
Размер
5,4 Mb
Список файлов
тр ду 14 вариант.pdf
Комментарии
Нет комментариев
Стань первым, кто что-нибудь напишет!
МГТУ им. Н.Э.Баумана
Gardt5676

















