Для студентов МГТУ им. Н.Э.Баумана по предмету Интегралы и дифференциальные уравнения (ИиДУ)Решённые билеты РК "Интегралы и ДУ"Решённые билеты РК "Интегралы и ДУ"
5,0058
2023-03-152023-03-15СтудИзба
Ответы к контрольной работе 1: Решённые билеты РК "Интегралы и ДУ"
Описание
Билеты их решения для контрольной работы по интегралам (2 семестр, 1 курс).
- Решения более 10 билетов





Показать/скрыть дополнительное описание
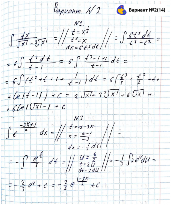
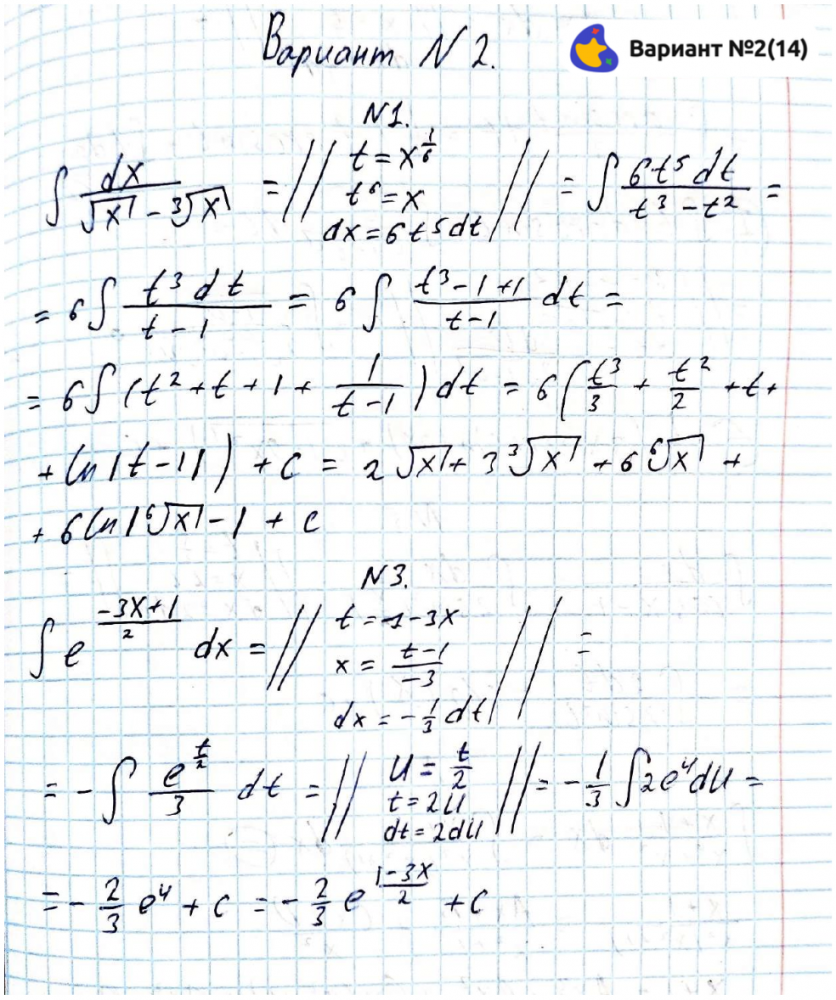
Решенные билеты КР по интегралам.
Характеристики ответов (шпаргалок) к КР
Учебное заведение
Семестр
Номер задания
Просмотров
323
Качество
Скан рукописных листов
Размер
9,14 Mb
Преподаватели
Список файлов
Интегралы — КР.pdf

Vladelo