Для студентов МГТУ им. Н.Э.Баумана по предмету Интегралы и дифференциальные уравнения (ИиДУ)Техника интегрированияТехника интегрирования
5,0052
2023-02-262024-08-31СтудИзба
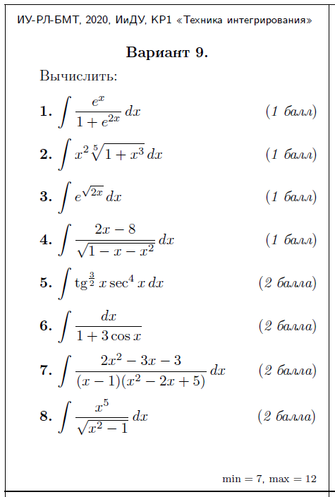
Ответы к контрольной работе 1: Техника интегрирования вариант 9
-60%
Описание

Характеристики ответов (шпаргалок) к КР
Учебное заведение
Семестр
Номер задания
Вариант
Просмотров
44
Качество
Фото рукописных листов
Размер
600,58 Kb
Список файлов
6yNG8Q8q9eM.jpg
ad5MQ6Syeow.jpg
Hhyq7yRI9Gk.jpg
IBFBGtWUMJE.jpg

Вам все понравилось? Получите кэшбэк - 40 рублей на Ваш счёт при покупке. Поставьте оценку и напишите положительный комментарий к купленному файлу. После Вы получите деньги на ваш счет.