Для студентов по предмету ИнформатикаВыполнить расчёты с использованием математического пакета MathCAD и табличного процессора Excel.Выполнить расчёты с использованием математического пакета MathCAD и табличного процессора Excel.
5,0053104
2025-02-252025-02-25СтудИзба
ДЗ: Выполнить расчёты с использованием математического пакета MathCAD и табличного процессора Excel.
Описание
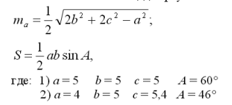
1. Вычислить медиану треугольника по данным значениям сторон. Вычислить площадь треугольника.
Вычислить значение функции и построить график при
![]()



Характеристики домашнего задания
Предмет
Просмотров
1
Качество
Идеальное компьютерное
Размер
571,9 Kb
Список файлов
Информатика-2-9.pdf

Если нужен другой вариант работы или отдельная задача из любой работы, пишите в комментарии