Вычислить среднюю толщину d прослойки связующего при равномерном распределении однонаправленных элементарных волоконец в материале. В качестве наполнителя используется техническая нить капрон с линейной плотностью Т=90.Масса прессованного образца 40
Описание
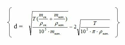
Вычислить среднюю толщину d прослойки связующего при равномерном распределении однонаправленных элементарных волоконец в материале. В качестве наполнителя используется техническая нить капрон с линейной плотностью Т=90.Масса прессованного образца 40 г при массовом соотношении связующего и наполнителя 1:1. Плотность эпоксидного связующего ρсв.=1,2 г/см3, плотность капрона ρкапр =1,14 г/см3.Для расчёта применить соотношение

где mсв.и mнап.- масса связующего и наполнителя в образце, г, соответственно.
Указанное соотношение получено для модели равномерного распределения армирующих волоконец в поперечном сечении образца ПКМ. При этом суммарная площадь промежуточных слоёв определяется как разность общей площади поперечного сечения образца и суммарной площади поперечных сечений армирующих волоконец.
Характеристики решённой задачи
Список файлов
