Для студентов СамГТУ по предмету Геоинформационные системы и системы мониторинга в нефтегазовой отраслиГеофизические характеристики пластово-сводовой залежи углеводородовГеофизические характеристики пластово-сводовой залежи углеводородов
5,0053245
2024-05-162024-05-16СтудИзба
ДЗ 5: Геофизические характеристики пластово-сводовой залежи углеводородов вариант 8
Описание
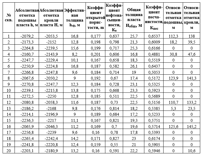
В ходе разведки и разработки Западно-Колтогорского месторождения были получены геофизические характеристики пластово-сводовой залежи углеводородов по данным 20 скважин. Необходимо определить запас углеводородов по представленным характеристикам залежи. Построить график профильного разреза пластово-сводовой залежи.

Характеристики домашнего задания
Учебное заведение
Номер задания
Вариант
Просмотров
1
Качество
Идеальное компьютерное
Размер
121,95 Kb
Список файлов
8 букв.docx

Если нужен другой вариант работы или отдельная задача из любой работы, пишите в комментарии