Для студентов ИГЭУ им. Ленина по предмету ФизикаИспускательная способность тела задана уравнением где b постоянная, ω частота излучения. Рассчитать энергетическую светимость тела.Испускательная способность тела задана уравнением где b постоянная, ω частота излучения. Рассчитать энергетическую светимость тела.
5,00572
2025-06-192025-07-15СтудИзба
Испускательная способность тела задана уравнением где b постоянная, ω частота излучения. Рассчитать энергетическую светимость тела.
Описание
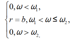
Испускательная способность тела задана уравнением
где b – постоянная, ω – частота излучения. Рассчитать энергетическую светимость тела.

Характеристики решённой задачи
Предмет
Учебное заведение
Номер задания
Вариант
Программы
Теги
Просмотров
2
Качество
Идеальное компьютерное
Размер
18,07 Kb
Список файлов
3.2.docx

🎓Помощь студентам Ивановских ВУЗов🎓 ❤️ Каждая приобретенная работа служит стимулом для добавления новых материалов и упрощает учебный процесс.