Для студентов МГТУ им. Н.Э.Баумана по предмету ФизикаДинамика материальной точкиДинамика материальной точки
5,0052
2022-02-242024-11-27СтудИзба
Задача 1: Динамика материальной точки вариант 16
Описание
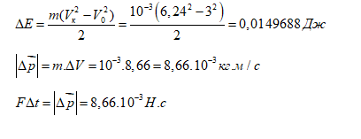
Гладкая частица сферической формы массой m, которую можно рассматривать как материальную точку, ударяется со скоростью Vo о гладкую массивную преграду, которая движется со скоростью U=const . Угол, образованный векторами Vo и U, равен b. Массу преграды считать бесконечной. На рис. 5, 6 преграда имеет форму плоской стенки, на рис.7 – форму острого конуса с углом раствора γ, а на рис. 8 – форму конуса сферической головной частью радиусом R. Удар частицы о сферическую поверхность происходит в точке А, расположенной под углом γ относительно оси преграды. При этом АО = R..,
![]()




Файлы условия, демо
Характеристики решённой задачи
Предмет
Учебное заведение
Семестр
Номер задания
Вариант
Просмотров
139
Качество
Идеальное компьютерное
Размер
168,64 Kb
Список файлов
Дз1-Вариант16-задача1.docx
Условие Вариант 11-20- задача 1.docx

Ваше удовлетворение является нашим приоритетом, если вы удовлетворены нами, пожалуйста, оставьте нам 5 ЗВЕЗД и позитивных комментариев. Спасибо большое!. Смотрите файлы в моем профиле, там есть много полезных !