Для студентов МГТУ им. Н.Э.Баумана по предмету ФизикаОператоры физических величинОператоры физических величин
2022-06-232022-06-23СтудИзба
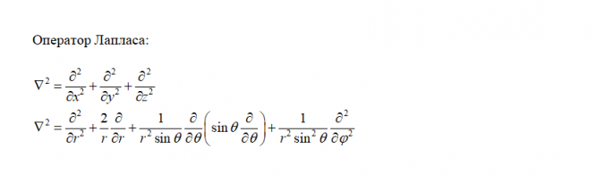
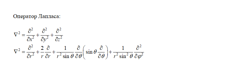
Лекции: Операторы физических величин
Описание
Характеристики лекций
Тип
Предмет
Учебное заведение
Семестр
Просмотров
12
Качество
Идеальное компьютерное
Размер
42 Kb
Список файлов

Вам все понравилось? Получите кэшбэк - 40 рублей на Ваш счёт при покупке. Поставьте оценку и напишите положительный комментарий к купленному файлу. После Вы получите деньги на ваш счет.