Для студентов МГТУ им. Н.Э.Баумана по предмету ФизикаКолебания + ВолныКолебания + Волны
4,97514425
2025-09-232025-09-23СтудИзба
Вариант 8 - ДЗ №2 - "Колебания" и "Волны"
ДЗ 2: Колебания + Волны вариант 8
-25%
Описание
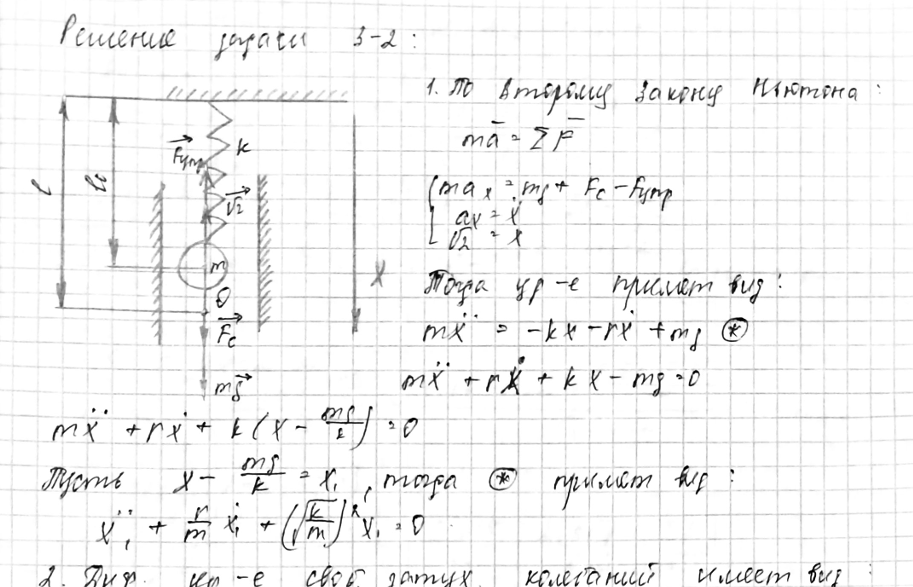
Домашняя работа №2, "Колебания + Волны", зачтено на максимальный балл
Задача 1:
Задача 2:
Показать/скрыть дополнительное описание
Задача 1:




Типовой расчет по физике МГТУ.
Характеристики домашнего задания
Предмет
Учебное заведение
Семестр
Номер задания
Вариант
Программы
Просмотров
1
Качество
Скан рукописных листов
Размер
2,51 Mb
Список файлов
Вариант 8 ДЗ-3 112.pdf
Вариант 8 ДЗ-4 133.pdf

Спасибо за покупку! Я буду очень рад, если поставишь справедливую оценку купленному файлу :3 Ищи больше работ в моём профиле, там много нужного тебе!