Для студентов МГТУ им. Н.Э.Баумана по предмету ФизикаЗадача 5.1 + Задача 5.2Задача 5.1 + Задача 5.2
4,97514426
2024-10-082024-10-08СтудИзба
Вариант 8 - ДЗ №1 - Задачи 5.1.08 и 5.2.08
ДЗ 1: Задача 5.1 + Задача 5.2 вариант 8
-25%
Описание
Задачи из типовика №1, зачтены на максимальный балл
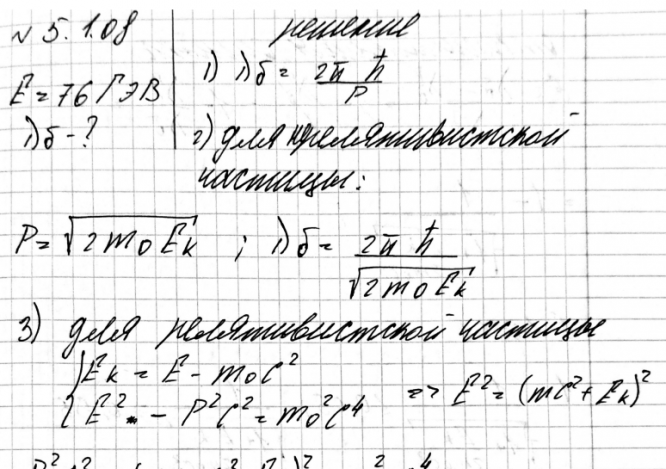
Задача 1:
Задача 2:
Показать/скрыть дополнительное описание
Задача 1:




Типовой расчёт по физике МГТУ.
Характеристики домашнего задания
Предмет
Учебное заведение
Семестр
Номер задания
Вариант
Программы
Просмотров
14
Качество
Скан рукописных листов
Размер
2,88 Mb
Список файлов
5.1.08 800.pdf
5.2.08 59.pdf

Спасибо за покупку! Я буду очень рад, если поставишь справедливую оценку купленному файлу :3 Ищи больше работ в моём профиле, там много нужного тебе!