Для студентов ИГЭУ им. Ленина по предмету ФизикаВолны. Волновые свойства светаВолны. Волновые свойства света
5,00571
2025-08-272025-08-27СтудИзба
Ответы к контрольной работе 1: Волны. Волновые свойства света
Описание
Волны. Волновые свойства света
- 1.1. Для поперечной волны справедливо утверждение:
2) частицы среды колеблются в направлениях перпендикулярных направлению распространения волны
3) частицы среды колеблются в направлении распространения волны
- 1.2. Для сферической волны справедливо утверждение:
2) амплитуда волны обратно пропорциональна расстоянию до источника колебаний (в непоглощающей среде)
3) волновые поверхности имеют вид параллельных друг другу плоскостей
- 1.3. Из приведенных выражений уравнением сферической бегущей волны является…





- 1.4. Звуковая волна распространяется в воздухе от источника колебаний. При увеличении частоты колебаний v в 2 раза…
2) длина волны λ и скорость распространения волны v уменьшатся в 2 раза.
3) длина волны λ и скорость распространения волны v не изменятся.
4) длина волны λ уменьшится в 2 раза, а скорость распространения волны v увеличится в 2 раза.
5) длина волны λ не изменится, а скорость распространения волны v уменьшится в 2 раза.
- 1.5. Волна переходит из среды 1 в среду 2, преломляясь, как показано на рисунке. Для длины волны λ и скорости волны V в этих средах справедливы соотношения…
2) V1 > V2 ; λ1 > λ2
3) V1 = V2 ; λ1 >λ2
4) V1 > V2 ; λ1 = λ2
- 1.6. Сейсмическая упругая волна, падающая под углом 45o на границу раздела между двумя слоями земной коры с различными свойствами, преломляется под углом 30o. Во второй среде волна распространяется со скоростью 4,0 км/с. В первой среде скорость волны равна…
2) 1.4 км/с
3) 5,6 км/с
4) 7,8 км/с
- 1.7. Если уравнение плоской синусоидальной волны, распространяющейся вдоль оси OX, имеет вид
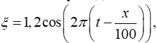
то частота колебаний равна…
2) 3,14 Гц
3) 1 Гц
4) 6,28 Гц
- 1.8. Уравнение плоской синусоидальной волны, распространяющейся вдоль оси OX, имеет вид ζ = 0,01sin(103t-2x). Длина волны (в м) равна…
2) 0,5
3) 2
- 1.9. Уравнение плоской синусоидальной волны, распространяющейся вдоль оси OX, имеет вид ζ = 0,01sin(103t-2x). Период колебаний частиц среды (в мс) равен…
2) 1
3) 2
- 1.10. Уравнение плоской синусоидальной волны, распространяющейся вдоль оси OX со скоростью 500 м/с, имеет вид ζ = 0,01sin(103t-kx). Волновое число (в м-1) равно…
2) 0,5
3) 5
- 1.11. Уравнение плоской синусоидальной волны, распространяющейся вдоль оси OX со скоростью 500 м/с, имеет вид ζ = 0,01sin(ωt-2x). Циклическая частота ω (в с-1) равна…
2) 1000
3) 2
- 1.12. Уравнение плоской синусоидальной волны, распространяющейся вдоль оси OX, имеет вид
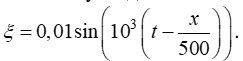
Длина волны (в м) равна…
2) 1000
3) 2
- 1.13. Уравнение плоской синусоидальной волны, распространяющейся вдоль оси OX, имеет вид ζ = 0,01sin(103t-2x). Скорость распространяющейся волны (в м/с) равна…
2) 2
3) 500
- 1.14. Уравнение плоской волны, распространяющейся вдоль оси OX, имеет вид
Скорость распространения волны (в м/с) равна…
2) 1000
3) 2
4) 500
- 1.15. Плотность потока энергии упругой волны имеет размерность…
2) Вт*м2
3) Вт/м2
4) Дж*м2
- 1.16. Если увеличить в 2 раза объемную плотность энергии и при этом увеличить в 2 раза скорость распространения упругих волн, то плотность потока энергии…
2) останется неизменной
3) увеличится в 2 раза
- 1.17. Если уменьшить в 2 раза объемную плотность энергии при неизменной скорости распространения упругих волн, то плотность потока энергии…
2) останется неизменной
3) уменьшится 2 раза
- 1.18. В электромагнитной волне векторы напряженности электрического E и магнитного H полей колеблются...
2) в одинаковых фазах
3) в сдвинутых на π/2 фазах
4) в произвольных друг относительно друга фазах
- 1.19. На рисунке показана ориентация векторов напряженности электрического E и магнитного H полей в электромагнитной волне. Вектор плотности потока энергии электромагнитного поля ориентирован в направлении…
2) 1
3) 2
4) 4
- 1.20. На рисунке показана ориентация векторов напряженности электрического E и магнитного H полей в электромагнитной волне. Вектор плотности потока энергии электромагнитного поля ориентирован в направлении…
2) 1
3) 3
4) 4
- 1.21. На рисунке показана ориентация векторов напряженности электрического E и магнитного H полей в электромагнитной волне. Вектор плотности потока энергии электромагнитного поля ориентирован в направлении…
2) 3
3) 1
4) 4
- 1.22. На рисунке показана ориентация векторов напряженности электрического E и магнитного H полей в электромагнитной волне. Вектор плотности потока энергии электромагнитного поля ориентирован в направлении…
2) 1
3) 2
4) 3
- 1.23. На рисунке показана ориентация векторов напряженности электрического E и магнитного H полей в электромагнитной волне. Вектор плотности потока энергии электромагнитного поля ориентирован в направлении…
2) 1
3) 2
4) 3
- 1.24. На рисунке показана ориентация векторов напряженности электрического E и магнитного H полей в электромагнитной волне. Вектор плотности потока энергии электромагнитного поля ориентирован в направлении…
2) 4
3) 1
4) 2
- 1.25. При уменьшении в 2 раза амплитуды колебаний векторов напряженности электрического и магнитного полей плотность потока энергии…
2) останется неизменной
3) уменьшится 2 раза
- 1.26. На расстоянии 4 м от лампы энергетическая освещенность небольшого листа бумаги, расположенного перпендикулярно световым лучам, равна 4 Вт/м2. На расстоянии 8 м от лампы энергетическая освещенность равна...
2) 0.5 Вт/м2
3) 16 Вт/м2
4) 2 Вт/м2
5) 1 Вт/м2
- 1.27. Интенсивность света, прошедшего сквозь слой некоторого вещества толщиной 2 см, в три раза меньше первоначальной. Интенсивность света, прошедшего сквозь слой этого вещества толщиной 4 см, меньше первоначальной
2) в 27 раз
3) в 4 раза
4) в 7,6 раз
5) в 6 раза
- 1.28. Зависимость показателя преломления n вещества от длины световой волны λ при нормальной дисперсии отражена на рисунке…



- 1.29. Радуга на небе объясняется…
2) поляризацией света
3) интерференцией света
4) дисперсией света
- 1.30. Стеклянная призма разлагает белый свет. На рисунке представлен ход лучей в призме. Правильно отражает реальный ход лучей рисунок…





- 1.31. Интерференцией света называется явление...
2) рассеяния света неоднородностями среды
3) наложения когерентных волн и перераспределения их энергии в пространстве
4) разложения белого света в спектр
- 1.32. Радужные пятна на поверхности воды, покрытой тонкой пленкой бензина, объясняются…
2) поляризацией света
3) дифракцией света
4) дисперсией света
- 1.33. Когерентные волны, имеют...
2) одинаковые амплитуды и фазы
3) разные длины волн, но одинаковые фазы
4) одинаковые длины волн и постоянную разность фаз
- 1.34. Из приведенных утверждений верным является следующее утверждение:
2) суммарная интенсивность при интерференции двух когерентных волн зависит от разности фаз интерферирующих волн
3) при сложении когерентных волн суммарная интенсивность равна сумме интенсивностей складываемых волн
- 1.35. Когерентные волны с начальными фазами φ1 и φ2 и разностью хода Δ при наложении максимально усиливаются при выполнении условия…
2) Δ = (2k + 1)λ/2 ; k = 0 ; 1 ; 2
3) φ1 - φ1 = (2k + 1)π ; k = 0 ; 1 ; 2
4) φ1 - φ1 = 2kπ ; k = 0 ; 1 ; 2
- 1.36. Когерентные волны с начальными фазами φ1 и φ2 и разностью хода Δ и разностью хода при наложении максимально ослабляют при выполнении условия…
2) Δ = λ/4
3) Δ = kλ ; k = 0 ; 1 ; 2
4) φ1 - φ1 = 2kπ ; k = 0 ; 1 ; 2
- 1.37. Тонкая стеклянная пластинка с показателем преломления n и толщиной d помещена между двумя средами с показателями преломления n1 и n2 (n1 > n > n2) На пластинку по нормали к поверхности падает свет с длиной волны λ. Для интерферирующих отраженных лучей оптическая разность хода равна…
2) 2dn
3) 2dn + λ/2
4) 2dn1
- 1.38. Масляное пятно на поверхности воды имеет вид, показанный на рисунке. Толщина пятна от края к центру…
2) сначала увеличивается, затем уменьшается
3) сначала уменьшается, затем увеличивается
4) уменьшается
5) не изменяется
- 1.39. Масляное пятно на поверхности воды имеет вид, показанный на рисунке. Толщина пятна от края к центру…
2) сначала увеличивается, затем уменьшается
3) сначала уменьшается, затем увеличивается
4) уменьшается
5) не изменяется
- 1.40. Имеются 4 дифракционные решетки с различными постоянными d, освещаемые одним и тем же монохроматическим излучением различной интенсивности. Какой рисунок иллюстрирует положение главных максимумов, создаваемых дифракционной решеткой с наибольшей постоянной решетки? (J – интенсивность света, φ – угол дифракции).




- 1.41. Имеются 4 дифракционные решетки с различными постоянными d, освещаемые одним и тем же монохроматическим излучением различной интенсивности. Какой рисунок иллюстрирует положение главных максимумов, создаваемых дифракционной решеткой с наименьшей постоянной решетки? (J – интенсивность света, – φ угол дифракции).




- 1.42. Одна и та же дифракционная решетка освещается различными монохроматическими излучениями с разными интенсивностями. Какой рисунок соответствует случаю освещения светом с наибольшей длиной волны? (J – интенсивность света, φ – угол дифракции).




- 1.43. Одна и та же дифракционная решетка освещается различными монохроматическими излучениями с разными интенсивностями. Какой рисунок соответствует случаю освещения светом с наименьшей длиной волны? (J – интенсивность света, φ – угол дифракции).




- 1.44. Одна и та же дифракционная решетка освещается различными монохроматическими излучениями с разными интенсивностями. Какой рисунок соответствует случаю освещения светом с наибольшей частотой? (J – интенсивность света, φ – угол дифракции).




- 1.45. Одна и та же дифракционная решетка освещается различными монохроматическими излучениями с разными интенсивностями. Какой рисунок соответствует случаю освещения светом с наименьшей частотой? (J – интенсивность света, φ – угол дифракции).




- 1.46. На идеальный поляризатор падает свет интенсивности Jест от обычного источника. При вращении поляризатора вокруг направления распространения луча интенсивность прошедшего света...
2) не меняется и равна 1/2Jест
3) не меняется и равна Jест
4) меняется от Jmin до Jmax
- 1.47. Если закрыть n открытых зон Френеля, а открыть только первую, то амплитуда вектора напряженности электрического поля…
2) уменьшится в 2 раза
3) увеличится в n раз
4) не изменится
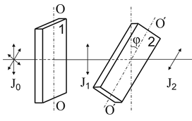
- 1.48. На пути естественного света помещены две пластинки турмалина. После прохождения пластинки 1 свет полностью поляризован. Если J1 и J2 – интенсивности света, прошедшего пластинки 1 и 2 соответственно, и угол между направлениями OO и O'O' φ=60o, то J1 и J2 связаны соотношением…
2) J2 = J1/2
3) J2 = 3/4J1
4) J2 = J1
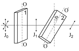
- 1.49. На пути естественного света помещены две пластинки турмалина. После прохождения пластинки 1 свет полностью поляризован. Если J1 и J2 – интенсивности света, прошедшего пластинки 1 и 2 соответственно, и угол между направлениями OO и O'O' φ=30o, то J1 и J2 связаны соотношением…
2) J2 = J1/2
3) J2 = J1/4
4) J2 = J1
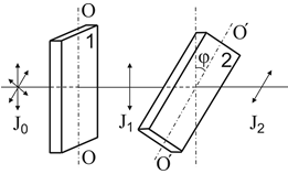
- 1.50. На пути естественного света помещены две пластинки турмалина. После прохождения пластинки 1 свет полностью поляризован. Если J1 и J2 – интенсивности света, прошедшего пластинки 1 и 2 соответственно, и угол между направлениями OO и O'O' φ=0o, то J1 и J2 связаны соотношением…
2) J2 = J1/2
3) J2 = J1/4
4) J2 =0
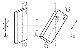
- 1.51. На пути естественного света помещены две пластинки турмалина. После прохождения пластинки 1 свет полностью поляризован. Если J1 и J2 – интенсивности света, прошедшего пластинки 1 и 2 соответственно, и J1 = J2 , то угол между направлениями OO и O'O' равен..
2) 60o
3) 90o
4) 30o
- 1.52. На пути естественного света помещены две пластинки турмалина. После прохождения пластинки 1 свет полностью поляризован. Если J1 и J2 – интенсивности света, прошедшего пластинки 1 и 2 соответственно, и J2 = 0 , то угол между направлениями OO и O'O' равен..
2) 0o
3) 60o
4) 30o
- 1.53. На пути естественного света помещены две пластинки турмалина. После прохождения пластинки 1 свет полностью поляризован. Если J1 и J2 – интенсивности света, прошедшего пластинки 1 и 2 соответственно, и J2 = J1/4 , то угол между направлениями OO и O'O' равен..
2) 90o
3) 45o
4) 30o
- 1.54. Естественный свет проходит через стеклянную пластинку и частично поляризуется. Если на пути света поставить еще одну такую же пластинку, параллельно первой, то свет будет…
2) плоско поляризован
3) поляризация не изменится
- 1.55. При падении света из воздуха на диэлектрик отраженный луч полностью поляризован. Преломленный луч распространяется под углом 30o к нормали. Угол падения луча равен…
2) 45o
3) 30o
4) 90o
- 1.56. На стеклянное зеркало под углом Брюстера падает луч естественного света. На пути отраженного луча расположена призма Николя (николь). Интенсивность отраженного луча равна I1. Если плоскость пропускания николя параллельна плоскости, в которой лежат падающий и отраженный лучи, то интенсивность луча прошедшего николь I2 равна…
2) I2 = I1
3) I2 = 0
4) I2 = I1/2
- 1.57. Для продольной волны справедливо утверждение…
2) частицы среды колеблются в направлении распространения волны
3) частицы среды колеблются в направлениях, перпендикулярных направлению распространения волны
- 1.58. Волна проходит из среды 1 в среду 2, преломляясь, как показано на рисунке. При переходе через границу раздела уменьшаются…
2) частота колебаний
3) длина волны
4) волновое число
- 1.59. При прохождении белого света через трехгранную призму наблюдается его разложение в спектр. Это явление объясняется…
2) дисперсией света
3) дифракцией света
4) поляризацией света
- 1.60. Для некоторой точки среды оптическая разность хода лучей от двух когерентных источников света равна 1,2 мкм. Если длина волны 600 нм, то в этой точке будет наблюдаться…
2) минимум интерференции, так как разность хода равна четному числу полуволн
3) максимум интерференции, т.к. разность хода равна нечетному числу полуволн
4) минимум интерференции, т.к. разность хода равна нечетному числу полуволн
- 1.61. На рисунке представлена мгновенная фотография электрической составляющей электромагнитной волны, переходящей из среды 1 в среду 2 (АВ граница раздела). Относительный показатель преломления среды 2 относительно среды 1 равен…
2) 1
3) 0,67
4) 1,75
- 1.62. Тонкая пленка, освещенная белым светом, вследствие явления интерференции в отраженном свете имеет зеленый свет. При уменьшении толщины пленки ее цвет…
2) не изменится
3) станет красным
- 1.63. На диэлектрик под углом Брюстера падает луч естественного света. Для отраженного и преломленного луча справедливо утверждение…
2) отраженный луч максимально поляризован
3) отраженный луч поляризован частично
4) оба луча поляризованы
Список вопросов
1.48. На пути естественного света помещены две пластинки турмалина. После прохождения пластинки 1 свет полностью поляризован. Если J1 и J2 – интенсивности света, прошедшего пластинки 1 и 2 соответственно, и угол между направлениями OO и O'O' φ=60o, то J1 и J2 связаны соотношением… ![]()

1.33. Когерентные волны, имеют...
1.34. Из приведенных утверждений верным является следующее утверждение:
1.35. Когерентные волны с начальными фазами φ1 и φ2 и разностью хода Δ при наложении максимально усиливаются при выполнении условия…
1.36. Когерентные волны с начальными фазами φ1 и φ2 и разностью хода Δ и разностью хода при наложении максимально ослабляют при выполнении условия…
1.37. Тонкая стеклянная пластинка с показателем преломления n и толщиной d помещена между двумя средами с показателями преломления n1 и n2 (n1 > n > n2) На пластинку по нормали к поверхности падает свет с длиной волны λ. Для интерферирующих отраженных лучей оптическая разность хода равна…
1.38. Масляное пятно на поверхности воды имеет вид, показанный на рисунке. Толщина пятна от края к центру… ![]()

1.39. Масляное пятно на поверхности воды имеет вид, показанный на рисунке. Толщина пятна от края к центру… ![]()

1.40. Имеются 4 дифракционные решетки с различными постоянными d, освещаемые одним и тем же монохроматическим излучением различной интенсивности. Какой рисунок иллюстрирует положение главных максимумов, создаваемых дифракционной решеткой с наибольшей постоянной решетки? (J – интенсивность света, φ – угол дифракции).
1.41. Имеются 4 дифракционные решетки с различными постоянными d, освещаемые одним и тем же монохроматическим излучением различной интенсивности. Какой рисунок иллюстрирует положение главных максимумов, создаваемых дифракционной решеткой с наименьшей постоянной решетки? (J – интенсивность света, – φ угол дифракции).
1.42. Одна и та же дифракционная решетка освещается различными монохроматическими излучениями с разными интенсивностями. Какой рисунок соответствует случаю освещения светом с наибольшей длиной волны? (J – интенсивность света, φ – угол дифракции).
1.43. Одна и та же дифракционная решетка освещается различными монохроматическими излучениями с разными интенсивностями. Какой рисунок соответствует случаю освещения светом с наименьшей длиной волны? (J – интенсивность света, φ – угол дифракции).
1.44. Одна и та же дифракционная решетка освещается различными монохроматическими излучениями с разными интенсивностями. Какой рисунок соответствует случаю освещения светом с наибольшей частотой? (J – интенсивность света, φ – угол дифракции).
1.45. Одна и та же дифракционная решетка освещается различными монохроматическими излучениями с разными интенсивностями. Какой рисунок соответствует случаю освещения светом с наименьшей частотой? (J – интенсивность света, φ – угол дифракции).
1.46. На идеальный поляризатор падает свет интенсивности Jест от обычного источника. При вращении поляризатора вокруг направления распространения луча интенсивность прошедшего света...
1.47. Если закрыть n открытых зон Френеля, а открыть только первую, то амплитуда вектора напряженности электрического поля…
1.32. Радужные пятна на поверхности воды, покрытой тонкой пленкой бензина, объясняются…
1.49. На пути естественного света помещены две пластинки турмалина. После прохождения пластинки 1 свет полностью поляризован. Если J1 и J2 – интенсивности света, прошедшего пластинки 1 и 2 соответственно, и угол между направлениями OO и O'O' φ=30o, то J1 и J2 связаны соотношением… ![]()

1.50. На пути естественного света помещены две пластинки турмалина. После прохождения пластинки 1 свет полностью поляризован. Если J1 и J2 – интенсивности света, прошедшего пластинки 1 и 2 соответственно, и угол между направлениями OO и O'O' φ=0o, то J1 и J2 связаны соотношением… ![]()

1.51. На пути естественного света помещены две пластинки турмалина. После прохождения пластинки 1 свет полностью поляризован. Если J1 и J2 – интенсивности света, прошедшего пластинки 1 и 2 соответственно, и J1 = J2 , то угол между направлениями OO и O'O' равен.. ![]()

1.52. На пути естественного света помещены две пластинки турмалина. После прохождения пластинки 1 свет полностью поляризован. Если J1 и J2 – интенсивности света, прошедшего пластинки 1 и 2 соответственно, и J2 = 0 , то угол между направлениями OO и O'O' равен.. ![]()

1.53. На пути естественного света помещены две пластинки турмалина. После прохождения пластинки 1 свет полностью поляризован. Если J1 и J2 – интенсивности света, прошедшего пластинки 1 и 2 соответственно, и J2 = J1/4 , то угол между направлениями OO и O'O' равен.. ![]()

1.54. Естественный свет проходит через стеклянную пластинку и частично поляризуется. Если на пути света поставить еще одну такую же пластинку, параллельно первой, то свет будет…
1.55. При падении света из воздуха на диэлектрик отраженный луч полностью поляризован. Преломленный луч распространяется под углом 30o к нормали. Угол падения луча равен…
1.56. На стеклянное зеркало под углом Брюстера падает луч естественного света. На пути отраженного луча расположена призма Николя (николь). Интенсивность отраженного луча равна I1. Если плоскость пропускания николя параллельна плоскости, в которой лежат падающий и отраженный лучи, то интенсивность луча прошедшего николь I2 равна…
1.57. Для продольной волны справедливо утверждение…
1.58. Волна проходит из среды 1 в среду 2, преломляясь, как показано на рисунке. При переходе через границу раздела уменьшаются… ![]()

1.59. При прохождении белого света через трехгранную призму наблюдается его разложение в спектр. Это явление объясняется…
1.60. Для некоторой точки среды оптическая разность хода лучей от двух когерентных источников света равна 1,2 мкм. Если длина волны 600 нм, то в этой точке будет наблюдаться…
1.61. На рисунке представлена мгновенная фотография электрической составляющей электромагнитной волны, переходящей из среды 1 в среду 2 (АВ граница раздела). Относительный показатель преломления среды 2 относительно среды 1 равен…
![]()

1.62. Тонкая пленка, освещенная белым светом, вследствие явления интерференции в отраженном свете имеет зеленый свет. При уменьшении толщины пленки ее цвет…
1.63. На диэлектрик под углом Брюстера падает луч естественного света. Для отраженного и преломленного луча справедливо утверждение…
1.17. Если уменьшить в 2 раза объемную плотность энергии при неизменной скорости распространения упругих волн, то плотность потока энергии…
1.2. Для сферической волны справедливо утверждение:
1.3. Из приведенных выражений уравнением сферической бегущей волны является…
1.4. Звуковая волна распространяется в воздухе от источника колебаний. При увеличении частоты колебаний v в 2 раза…
1.5. Волна переходит из среды 1 в среду 2, преломляясь, как показано на рисунке. Для длины волны λ и скорости волны V в этих средах справедливы соотношения…
![]()

1.6. Сейсмическая упругая волна, падающая под углом 45o на границу раздела между двумя слоями земной коры с различными свойствами, преломляется под углом 30o. Во второй среде волна распространяется со скоростью 4,0 км/с. В первой среде скорость волны равна…
1.7. Если уравнение плоской синусоидальной волны, распространяющейся вдоль оси OX, имеет вид
то частота колебаний равна…

1.8. Уравнение плоской синусоидальной волны, распространяющейся вдоль оси OX, имеет вид ζ = 0,01sin(103t-2x). Длина волны (в м) равна…
1.9. Уравнение плоской синусоидальной волны, распространяющейся вдоль оси OX, имеет вид ζ = 0,01sin(103t-2x). Период колебаний частиц среды (в мс) равен…
1.10. Уравнение плоской синусоидальной волны, распространяющейся вдоль оси OX со скоростью 500 м/с, имеет вид ζ = 0,01sin(103t-kx). Волновое число (в м-1) равно…
1.11. Уравнение плоской синусоидальной волны, распространяющейся вдоль оси OX со скоростью 500 м/с, имеет вид ζ = 0,01sin(ωt-2x). Циклическая частота ω (в с-1) равна…
1.12. Уравнение плоской синусоидальной волны, распространяющейся вдоль оси OX, имеет вид
Длина волны (в м) равна…

1.13. Уравнение плоской синусоидальной волны, распространяющейся вдоль оси OX, имеет вид ζ = 0,01sin(103t-2x). Скорость распространяющейся волны (в м/с) равна…
1.14. Уравнение плоской волны, распространяющейся вдоль оси OX, имеет вид
Скорость распространения волны (в м/с) равна…

1.15. Плотность потока энергии упругой волны имеет размерность…
1.16. Если увеличить в 2 раза объемную плотность энергии и при этом увеличить в 2 раза скорость распространения упругих волн, то плотность потока энергии…
1.1. Для поперечной волны справедливо утверждение:
1.18. В электромагнитной волне векторы напряженности электрического E и магнитного H полей колеблются... ![]()

1.19. На рисунке показана ориентация векторов напряженности электрического E и магнитного H полей в электромагнитной волне. Вектор плотности потока энергии электромагнитного поля ориентирован в направлении…
![]()

1.20. На рисунке показана ориентация векторов напряженности электрического E и магнитного H полей в электромагнитной волне. Вектор плотности потока энергии электромагнитного поля ориентирован в направлении…
![]()

1.21. На рисунке показана ориентация векторов напряженности электрического E и магнитного H полей в электромагнитной волне. Вектор плотности потока энергии электромагнитного поля ориентирован в направлении…
![]()

1.22. На рисунке показана ориентация векторов напряженности электрического E и магнитного H полей в электромагнитной волне. Вектор плотности потока энергии электромагнитного поля ориентирован в направлении…
![]()

1.23. На рисунке показана ориентация векторов напряженности электрического E и магнитного H полей в электромагнитной волне. Вектор плотности потока энергии электромагнитного поля ориентирован в направлении…
![]()

1.24. На рисунке показана ориентация векторов напряженности электрического E и магнитного H полей в электромагнитной волне. Вектор плотности потока энергии электромагнитного поля ориентирован в направлении…
![]()

1.25. При уменьшении в 2 раза амплитуды колебаний векторов напряженности электрического и магнитного полей плотность потока энергии…
1.26. На расстоянии 4 м от лампы энергетическая освещенность небольшого листа бумаги, расположенного перпендикулярно световым лучам, равна 4 Вт/м2. На расстоянии 8 м от лампы энергетическая освещенность равна...
1.27. Интенсивность света, прошедшего сквозь слой некоторого вещества толщиной 2 см, в три раза меньше первоначальной. Интенсивность света, прошедшего сквозь слой этого вещества толщиной 4 см, меньше первоначальной
1.28. Зависимость показателя преломления n вещества от длины световой волны λ при нормальной дисперсии отражена на рисунке…
1.29. Радуга на небе объясняется…
1.30. Стеклянная призма разлагает белый свет. На рисунке представлен ход лучей в призме. Правильно отражает реальный ход лучей рисунок…
1.31. Интерференцией света называется явление...
Характеристики ответов (шпаргалок) к КР
Тип
Коллекция: Ответы (шпаргалки) к контрольной работе
Предмет
Учебное заведение
Семестр
Номер задания
Просмотров
4
Качество
Идеальное компьютерное
Количество вопросов

🎓Помощь студентам Ивановских ВУЗов🎓 ❤️ Каждая приобретенная работа служит стимулом для добавления новых материалов и упрощает учебный процесс.