Для студентов ИДДО НИУ «МЭИ» по предмету ФизикаКурс Физика - КМ-2. Механика вращательного и колебательного движения. ТестированиеКурс Физика - КМ-2. Механика вращательного и колебательного движения. Тестирование
4,99522211
2025-02-192025-02-19СтудИзба
💼 База ответов к тесту КМ-2. Механика вращательного и колебательного движения (Курс Физика) 📊
Ответы к заданиям КМ-2: Курс Физика - КМ-2. Механика вращательного и колебательного движения. Тестирование
Описание
Курс Физика - КМ-2. Механика вращательного и колебательного движения. Тестирование
🔴 Другие тесты и КМ по этому предмету 💯
➡️ Помощь со сдачей ⬅️
➡️ Помощь с ЛЮБЫМ предметом в МЭИ (ИДДО) ⬅️
➡️ Помощь с ЛЮБЫМ тестом в МЭИ (ИДДО) ⬅️
▶️ Помощь с ЛЮБОЙ практикой в МЭИ (ИДДО) ◀️
▶️ 📕 Помощь с ЛЮБОЙ ВКР в МЭИ (ИДДО) 📓 ◀️
🔝 Скорее жми на нужную тебе ссылку 😉Показать/скрыть дополнительное описание
🔴 Другие тесты и КМ по этому предмету 💯
➡️ Помощь со сдачей ⬅️

➡️ Помощь с ЛЮБЫМ предметом в МЭИ (ИДДО) ⬅️
➡️ Помощь с ЛЮБЫМ тестом в МЭИ (ИДДО) ⬅️
▶️ Помощь с ЛЮБОЙ практикой в МЭИ (ИДДО) ◀️
▶️ 📕 Помощь с ЛЮБОЙ ВКР в МЭИ (ИДДО) 📓 ◀️
🔝 Скорее жми на нужную тебе ссылку 😉Показать/скрыть дополнительное описание
решить тест по КМ-2 механика вращательного и колебательного движения, заказ теста по физике ИДДО, выполнение теста КМ-2 физика, купить ответы на тест КМ-2 механика вращательного движения НИУ МЭИ, помощь с решением теста по физике Иванова Ирина Викторовна, сдача контрольного модуля 2 в ИДДО ПД-Б-3-1-За, найти ответы на тестирование по механике колебательного движения, пройти тест по физике в НИУ МЭИ, тест КМ-2 механика вращательного движения с решением, сдача тестов по дисциплине физика, помощь в тестировании по курсу физика ИДДО, ответы на контрольный модуль 2 в системе СДО Прометей..
Список вопросов
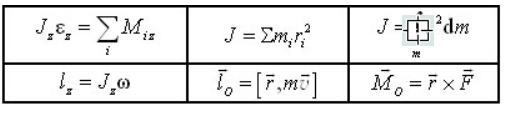
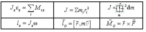
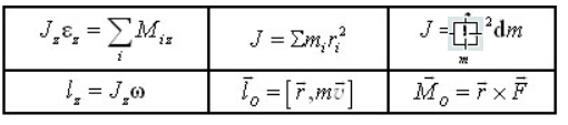
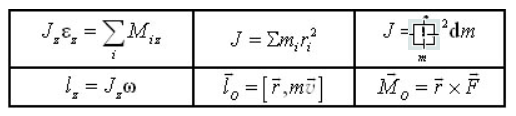
Укажите формулу для момента инерции системы точечных тел.

Найдите отношение моментов инерции однородных стержней, если их массы одинаковы, а длины отличаются в два раза.
С вершины наклонной плоскости без проскальзывания одновременно начинают скатываться два цилиндра: сплошной и полый. Массы и радиусы цилиндров одинаковы. Какой цилиндр скатится первым?
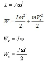
Чему равна кинетическая энергия тела, вращающегося относительно неподвижной оси?

Чему равна кинетическая энергия катящегося тела?
![]()

Чему равен момент силы относительно полюса?
![]()

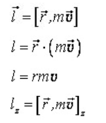
Чему равен момент импульса материальной точки относительно полюса О?


Диск радиусом 0,5 м вращается относительно неподвижной оси z, проходящей через его центр масс перпендикулярно плоскости диска. Угловая скорость диска 2 рад/с. Определите линейную скорость точек, лежащих на краю диска.
Машина едет по горизонтальной поверхности без проскальзывания со скоростью 36 км/ч. Чему равна скорость нижней точки колеса?
Укажите выражение для момента силы относительно полюса.
![]()

В каком направлении покатится катушка?

Математический маятник отклонили на небольшой угол и отпустили без начальной скорости.
Через какое время кинетическая энергия маятника станет равна потенциальной?
Через какое время кинетическая энергия маятника станет равна потенциальной?
Чему равен момент инерции системы материальных точек относительно оси?
![]()

Укажите выражение для момента импульса материальной точки относительно полюса.

По какой формуле рассчитывается момент инерции твердого тела

Прочитайте задание и выберите два правильных ответа.
Момент инерции материальной точки, вращающейся вокруг произвольной оси:
Момент инерции материальной точки, вращающейся вокруг произвольной оси:
Как изменится угловое ускорение вала при перемещении грузов ближе к оси вращения, если момент действующих на вал сил не меняется?
![]()

Как изменится момент инерции системы, если сблизить грузы?

Как направлено угловое ускорение блока?
![]()

Математический маятник отклонили на небольшой угол и отпустили без начальной скорости.
Через какое время кинетическая энергия маятника станет максимальной?
Через какое время кинетическая энергия маятника станет максимальной?
Математический маятник отклонили на небольшой угол и отпустили без начальной скорости.
Через какое время потенциальная энергия маятника вновь станет максимальной?
Через какое время потенциальная энергия маятника вновь станет максимальной?
Рассмотрим гармонические колебания пружинного маятника. Период изменения кинетической
энергии
![]()
энергии

Характеристики ответов (шпаргалок) к заданиям
Тип
Коллекция: Ответы (шпаргалки) к заданиям
Предмет
Учебное заведение
Номер задания
Теги
Просмотров
8
Качество
Идеальное компьютерное
Количество вопросов
Преподаватели

Гарантия сдачи без лишних хлопот! ✅🎓 Ответы на тесты по любым дисциплинам, базы вопросов, работы и услуги для Синергии, МЭИ и других вузов – всё уже готово! 🚀 🎯📚 Гарантия качества – или возврат денег! 💰✅