Для студентов ИДДО НИУ «МЭИ» по предмету ФизикаКурс Физика - Аттестационный курс Итоговый тестКурс Физика - Аттестационный курс Итоговый тест
5,0051
2024-12-172024-12-17СтудИзба
💼 База ответов к тесту Аттестационный курс Итоговый тест (Курс Физика) 📊
Ответы к экзамену Экзамен: Курс Физика - Аттестационный курс Итоговый тест
Описание
Курс Физика - Аттестационный курс Итоговый тест по курсу Ф-Б-4-1-ЗаО
🔴 Другие тесты и КМ по этому предмету 💯
➡️ Помощь со сдачей ⬅️
Показать/скрыть дополнительное описание
🔴 Другие тесты и КМ по этому предмету 💯
➡️ Помощь со сдачей ⬅️

коллекция ответов на тест аттестационный курс итоговый тест физика, скачать коллекцию решений по физике НИУ МЭИ, готовые ответы на итоговый тест по физике для заочного отделения, помощь с решением задач по физике НИУ МЭИ, коллекция тестов для аттестационного курса физика, сдача итогового модуля физика для студентов ИДДО, ответы на задачи по физике итоговый тест, где найти коллекцию решений для итогового теста физика, помощь студентам с аттестационным тестом по физике, готовые решения задач по итоговому тесту физика, контрольное задание физика итоговый курс скачать, сдача тестов по физике НИУ МЭИ ИДДО, качественная помощь с итоговым тестом по физике, ответы на контрольное задание физика аттестационный курс..
Список вопросов
С наклонной плоскости скатываются без проскальзывания с одной и той же высоты три тела. Массы и внешние радиусы тел одинаковы. Выберите правильное утверждение.
Имеются два стержня одинаковой массы, но разной длины. Один из них в два раза длиннее другого. Найдите отношение моментов инерции длинного и короткого стержней, относительно оси, проходящей через их центр перпендикулярно стержням.
Импульс системы тел сохраняется, если....
Сила, действующая на материальную точку, не изменяется с течением времени. Такое движение называется ...
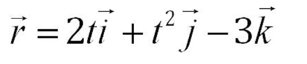
Радиус-вектор материальной точки зависит от времени по закону, приведённому на рисунке; все величины указаны в СИ. Найдите проекцию
вектора мгновенной скорости на ось Y в момент времени, равный 2 с.
![]()
вектора мгновенной скорости на ось Y в момент времени, равный 2 с.

Если геометрическая сумма всех сил, действующих на материальную точку, равна нулю, то она ....
Вечный двигатель первого рода совершает работу..
В случае замкнутого цикла работа газа за весь цикл...
Ускорение материальной точки....
В любом политропном процессе
Изменение внутренней энергии газа за цикл ....
Температура одноатомного идеального газа увеличивается вдвое: первый раз изобарно, а второй ( из того же начального состояния) - изохорно. Найдите отношение количества теплоты, полученного газом в изохорном процессе. к количеству теплоты, полученному газом в изобарном процессе.
Газ находится д металлическом тонкостенном цилиндрическом сосуде под поршнем. Газ сжимают в два раза: д первом случае медленно, до втором - быстро. В каком случае конечная температура газа выше?
Почему сохраняется механическая энергия шара, скатывающегося без проскальзывания с наклонной плоскости?
КПД тепловой машины, работающей по циклу Карно, ...
Вектор момента силы направлен
Внутренняя энергия идеального газа остается постоянной в
Выберите правильное утверждение.
Материальная точка движется с постоянной скоростью по окружности- Как направлено ускорение точки?
Сравните моменты инерции тел различной формы относительно оси, проходящей через их центр масс. Массы и внешние радиусы тел одинаковы. Выберите правильное утверждение.
Характеристики ответов (шпаргалок) к экзамену
Тип
Коллекция: Ответы (шпаргалки) к экзамену
Предмет
Учебное заведение
Номер задания
Теги
Просмотров
62
Качество
Идеальное компьютерное
Количество вопросов
Преподаватели

Гарантия сдачи без лишних хлопот! ✅🎓 Ответы на тесты по любым дисциплинам, базы вопросов, работы и услуги для Синергии, МЭИ и других вузов – всё уже готово! 🚀 🎯📚 Гарантия качества – или возврат денег! 💰✅