Для студентов МАИ по предмету ФизикаРасчетно-графическая работа по физике, 4 вариант. Раздел: механикаРасчетно-графическая работа по физике, 4 вариант. Раздел: механика
4,64514
2021-10-012021-10-01СтудИзба
Ответы к контрольной работе: Расчетно-графическая работа по физике, 4 вариант. Раздел: механика вариант 4
Описание
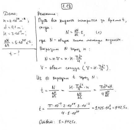
Расчетно-графические работы по физике, 1 семестр, вариант №4. Раздел: механика. Данные работы требуются обязательно для допуска к экзамену или зачету по физике. Вот к примеру задача 1.18 из раздела "Механика":
Всего таких задач в одном разделе 18 штук.
Все эти работы проверялись много раз и все они верные.
Всего таких задач в одном разделе 18 штук.
Все эти работы проверялись много раз и все они верные.
Характеристики ответов (шпаргалок) к КР
Предмет
Учебное заведение
Семестр
Вариант
Просмотров
11
Размер
13,11 Mb
Список файлов
Механика №4
1.15.jpg
1.45.jpg
1.75.jpg
2.14.jpg
2.44.jpg
2.54.doc
3.14(2).jpg
3.14(поменять высоту и пересчитать).jpg
3.44.jpg
3.64.doc
4.12 (поменять массу_катет и немного пересчитать).doc
4.42.jpg
4.62.djvu
5.15.djvu
5.45.doc
5.75.gif
6.15.gif
6.45.doc
6.75.djvu
7.11.doc
7.41.djvu
7.51.jpg
Молекулярка №4
1.18.jpg
1.43.jpg
1.89.jpg
2.27.jpg
2.57.jpg
2.74.jpg
3.27.jpg
3.40.jpg
3.69.png
4.32.jpg
4.65.jpg
4.84.jpg
5.12.jpg
5.43.jpg
5.73.jpg
6.11.jpg
6.38.jpg
6.49.jpg
Комментарии
Нет комментариев
Стань первым, кто что-нибудь напишет!
МАИ

















