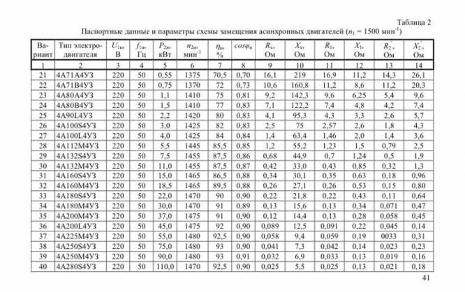
Для студентов МГТУ им. Н.Э.Баумана по предмету Электротехника (ЭлТех)Вариант 32 - ДЗ - Расчёт характеристик трёхфазного АДВариант 32 - ДЗ - Расчёт характеристик трёхфазного АД
5,0054
2021-10-062021-10-06СтудИзба
ДЗ: Вариант 32 - ДЗ - Расчёт характеристик трёхфазного АД вариант 32
Описание
Файлы условия, демо
Характеристики домашнего задания
Предмет
Учебное заведение
Семестр
Вариант
Просмотров
58
Качество
Идеальное компьютерное
Размер
617,51 Kb
Список файлов
Электроника 1.pdf
МГТУ им. Н.Э.Баумана


















