Для студентов ИДДО НИУ «МЭИ» по предмету Электротехника (ЭлТех)Трехфазные цепиТрехфазные цепи
5,0052
2023-01-132023-01-13СтудИзба
Ответы к контрольной работе 5: Трехфазные цепи
Описание
Трехфазные цепи
- 1. Амперметр A1 в симметричной трехфазной системе показывает 34,6 А. Определить показание А2.
- 2. Соотношение между фазным и линейным напряжением симметричного трехфазного источника Uл=√ (3Uф) при соединении фаз источника "звезда" выполняется:
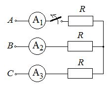
- 3. Показания амперметров до размыкания ключа A1=A2=A3=5 А. Определить показание A3 после размыкания ключа.
- 4. Симметричный трехфазный приемник, с соединением фаз "треугольник" подключен к симметричной трехфазной системе с линейными напряжениями прямой последовательности. Определить действующее значение линейного тока, если линейное напряжение источника 220 В, сопротивление фазы приемника 11 Ом.
- 5. У симметричного трехфазного приемника с соединением фаз "звезда" модуль комплексного сопротивления фазы Z1=10 Ом. Второй симметричный приемник с соединением фаз "треугольник" подключен к тому же трехфазному источнику, что и первый. Определить модуль комплексного сопротивления фазы второго приемника Z2, если линейные токи примеников одинаковые.
Характеристики ответов (шпаргалок) к КР
Предмет
Учебное заведение
Семестр
Номер задания
Программы
Теги
Просмотров
81
Качество
Идеальное компьютерное
Размер
501,98 Kb
Список файлов
Трехфазные цепи.pdf

Вам все понравилось? Получите кэшбэк - 40 рублей на Ваш счёт при покупке. Поставьте оценку и напишите положительный комментарий к купленному файлу. После Вы получите деньги на ваш счет.