Для студентов по предмету ЭлектроникаПостроить схему на три выходаПостроить схему на три выхода
5,0053200
2025-05-202025-05-20СтудИзба
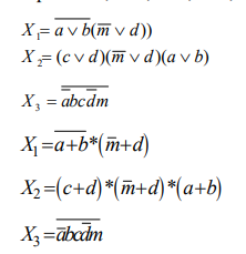
Задача: Построить схему на три выхода
Описание
Построить схему на три выхода. Использовать логические элементы ТТЛ - серий 133, 155, 530, 531, 533, 555, 1533
![]()

Характеристики решённой задачи
Предмет
Просмотров
1
Качество
Идеальное компьютерное
Размер
364,57 Kb
Список файлов
electronica-5.pdf

Если нужен другой вариант работы или отдельная задача из любой работы, пишите в комментарии