Для студентов по предмету ЭлектроникаРасчет параметрического стабилизатора постоянного напряжения на кремневом стабилитроне для постоянной величины нагрузки при заданных параметрах: ВыходРасчет параметрического стабилизатора постоянного напряжения на кремневом стабилитроне для постоянной величины нагрузки при заданных параметрах: Выход
5,00518019
2022-04-272022-04-27СтудИзба
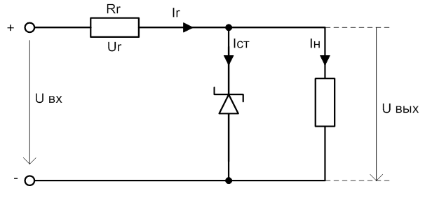
Расчет параметрического стабилизатора постоянного напряжения на кремневом стабилитроне для постоянной величины нагрузки при заданных параметрах: Выходное напряжение Uвых, В = 5,6 = Un = Uст Выходной ток Iвых, мА = 20 = In Входное напряжение Uвх, В =
Описание
Расчет параметрического стабилизатора постоянного напряжения на кремневом стабилитроне для постоянной величины нагрузки при заданных параметрах:
Выходное напряжение Uвых, В = 5,6 = Un = Uст
Выходной ток Iвых, мА = 20 = In
Входное напряжение Uвх, В = 12
Нестабильность входного напряжения ∆Uвх, % = ±15
Характеристики решённой задачи
Предмет
Просмотров
1
Качество
Идеальное компьютерное
Размер
210,5 Kb
Список файлов
Задача.doc
