Для студентов по предмету Электродинамика10.1410.14
2019-05-152019-05-15СтудИзба
Задача 10: 10.14 вариант 14
Описание
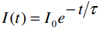
Катушка с индуктивностью L и сопротивлением R подсоединена к источнику питания с регулируемой ЭДС. Как следует изменять ЭДС источника, чтобы ток через катушку изменялся по закону:
![]()

Характеристики решённой задачи
Предмет
Номер задания
Вариант
Теги
Просмотров
97
Размер
465,24 Kb
Список файлов

Зарабатывай на студизбе! Просто выкладывай то, что так и так делаешь для своей учёбы: ДЗ, шпаргалки, решённые задачи и всё, что тебе пригодилось.
Начать зарабатывать
Начать зарабатывать