Для студентов по предмету Электродинамика5.65.6
2019-05-152019-05-15СтудИзба
Задача 5: 5.6 вариант 6
Описание
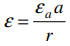
Сферический конденсатор с радиусами обкладок a и b (b > a) заполнен диэлектриком, диэлектрическая проницаемость которого зависит от расстояния r до центра конденсатора по закону:
Найдите емкость конденсатора и энергию, запасенную в нем, если разность потенциалов обкладок равна U.

Характеристики решённой задачи
Предмет
Номер задания
Вариант
Теги
Просмотров
93
Размер
91,25 Kb
Список файлов

Зарабатывай на студизбе! Просто выкладывай то, что так и так делаешь для своей учёбы: ДЗ, шпаргалки, решённые задачи и всё, что тебе пригодилось.
Начать зарабатывать
Начать зарабатывать