Для студентов по предмету Электродинамика4.214.21
2019-05-152019-05-15СтудИзба
Задача 4: 4.21 вариант 21
Описание
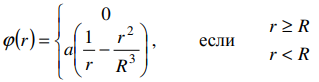
Найдите распределение зарядов, создающих в вакууме следующее распределение потенциала:
Здесь r – расстояние от начала координат.

Характеристики решённой задачи
Предмет
Номер задания
Вариант
Теги
Просмотров
99
Размер
702,23 Kb
Список файлов

Зарабатывай на студизбе! Просто выкладывай то, что так и так делаешь для своей учёбы: ДЗ, шпаргалки, решённые задачи и всё, что тебе пригодилось.
Начать зарабатывать
Начать зарабатывать