Для студентов ИДДО НИУ «МЭИ» по предмету ЭлектродинамикаЭлектродинамика - КМ-1. ТестированиеЭлектродинамика - КМ-1. Тестирование
5,0051
2025-12-072025-12-07СтудИзба
Ответы к заданиям КМ-1: Электродинамика - КМ-1. Тестирование
Новинка
Описание
Электродинамика - КМ-1. Тестирование
🔴 Другие тесты | Отдельные ответы по предмету | Помощь со сдачей ⬅️
Помощь с другими работами (нажимайте на нужную ссылку) ⬇️
➡️Любой предмет/КМ | Любой тест | Любая практика | ВКР (Диплом)⬅️
🗝️ ▶ Сессия под ключ/закрытие долгов ◀ 🗝️
🔴 Другие тесты | Отдельные ответы по предмету | Помощь со сдачей ⬅️
➡️Любой предмет/КМ | Любой тест | Любая практика | ВКР (Диплом)⬅️
🗝️ ▶ Сессия под ключ/закрытие долгов ◀ 🗝️
Список вопросов
Какова главная причина введения симметризованной формы уравнений Максвелла со
сторонними магнитными токами и зарядами?
сторонними магнитными токами и зарядами?
С каким фундаментальным физическим понятием непосредственно связан векторный
потенциал "А ** в квантовой механике и электродинамике?
потенциал "А ** в квантовой механике и электродинамике?
Уравнение баланса комплексной мощности (теорема Умова-Пойнтинга для гармонических полей) в дифференциальной форме имеет вид:
Что представляет собой физический смысл слагаемого
в этом уравнении?
Что представляет собой физический смысл слагаемого
в этом уравнении?
Уравнение
описывает:
описывает:
Что описывает фаза комплексной амплитуды поля (например,
) в монохроматическом режиме?
) в монохроматическом режиме?
В уравнении баланса комплексной мощности слагаемое 2iw ((Wm) -(We)) описывает:
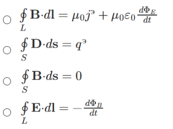
Какое из уравнений Максвелла в интегральной форме напрямую объясняет возникновение
вихревого электрического поля?
![]()
вихревого электрического поля?

Физический смысл действительной части (Re) комплексного вектора Пойнтинга Sc заключается
в том, что она описывает:
в том, что она описывает:
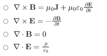
Какое из уравнений Максвелла в дифференциальной форме напрямую объясняет, почему
электростатическое поле является безвихревым (потенциальным) в отсутствие изменяющихся
магнитных полей?
![]()
электростатическое поле является безвихревым (потенциальным) в отсутствие изменяющихся
магнитных полей?

Что такое поверхностная плотность тока?
Какое условие калибровки (калибровочное условие) на векторный потенциал **A** напрямую приводит к тому, что скалярный потенциал **φ** удовлетворяет уравнению Пуассона (**∇²φ = -ρ/ε₀**), как в электростатике?
В каком из следующих случаев материальное уравнение для электрической индукции записано
НЕ верно для сред, обладающих дисперсией и нелинейностью?
![]()
НЕ верно для сред, обладающих дисперсией и нелинейностью?

Уравнение
является математическим выражением одного из фундаментальных
физических принципов. Какой принцип оно описывает?
является математическим выражением одного из фундаментальных
физических принципов. Какой принцип оно описывает?
Что понимают под «сторонним током» в уравнениях Максвелла?
При каком условии заряженное тело можно назвать точечным зарядом?
Как записывается закон сохранения магнитного заряда для симметризованных уравнений Максвелла?
Какая из следующих формул правильно выражает закон Фарадея для контура L, ограничивающего поверхность S? (E- ЭДС индукции, Фв - магнитный поток через поверхность S).
![]()

Какое уравнение получается из волнового уравнения для электрического поля после перехода
к монохроматическому режиму в однородной среде без источников?
![]()
к монохроматическому режиму в однородной среде без источников?

Какое физическое предположение или допущение неявно используется при окончательном
оформлении правой части теоремы Умова-Пойнтинга в виде
![]()
оформлении правой части теоремы Умова-Пойнтинга в виде

Что характеризует калибровочная инвариантность электродинамики?
Характеристики ответов (шпаргалок) к заданиям
Тип
Коллекция: Ответы (шпаргалки) к заданиям
Предмет
Учебное заведение
Номер задания
Теги
Просмотров
2
Качество
Идеальное компьютерное
Количество вопросов
Преподаватели
Комментарии
Нет комментариев
Стань первым, кто что-нибудь напишет!
ИДДО НИУ «МЭИ» 
studizboss













