Для студентов по предмету ЭконометрикаВ следующей выборке представлены данные по количеству (Y) и цене (Х) блага, приобретаемого домохозяйством ежемесячно в течение года: месяц 1 2 3 4 5 6В следующей выборке представлены данные по количеству (Y) и цене (Х) блага, приобретаемого домохозяйством ежемесячно в течение года: месяц 1 2 3 4 5 6
5,0051
2022-02-102022-02-10СтудИзба
В следующей выборке представлены данные по количеству (Y) и цене (Х) блага, приобретаемого домохозяйством ежемесячно в течение года: месяц 1 2 3 4 5 6 7 8 9 10 11 12 X 10 20 15 25 30 35 40 35 25 40 45 40 Y 110 75 100
Описание
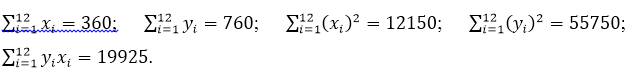
В следующей выборке представлены данные по количеству (Y) и цене (Х) блага, приобретаемого домохозяйством ежемесячно в течение года:
месяц | 1 | 2 | 3 | 4 | 5 | 6 | 7 | 8 | 9 | 10 | 11 | 12 |
X | 10 | 20 | 15 | 25 | 30 | 35 | 40 | 35 | 25 | 40 | 45 | 40 |
Y | 110 | 75 | 100 | 80 | 60 | 55 | 40 | 80 | 60 | 30 | 40 | 30 |
По данным таблицы: а) оцените тесноту и направление связи между переменными Х и Y с помощью коэффициента корреляции и дайте интерпретацию полученного результата; б) найдите с надежностью 0,95 интервальную оценку остаточной дисперсии σ2 и поясните ее смысл.
Характеристики решённой задачи
Предмет
Программы
Просмотров
10
Качество
Идеальное компьютерное
Размер
62,6 Kb
Список файлов
