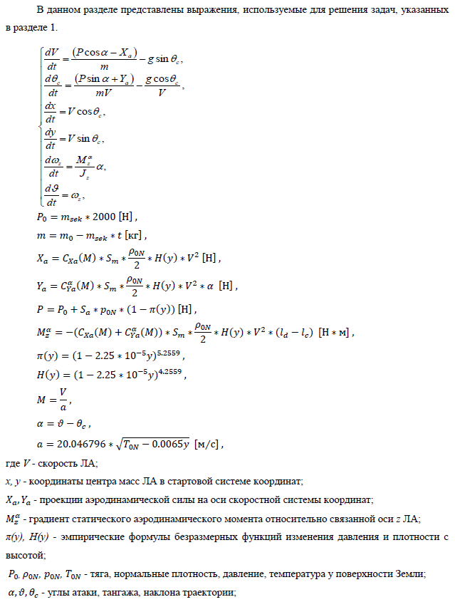
Для студентов МГТУ им. Н.Э.Баумана по предмету Динамика полётаДомашнее заданиеДомашнее задание
4,8858667
2020-10-082024-10-05СтудИзба
ДЗ 1: Домашнее задание вариант 24
Описание
Характеристики домашнего задания
Предмет
Учебное заведение
Семестр
Номер задания
Вариант
Просмотров
36
Размер
1,03 Mb
Список файлов
Домашнее задание №1 (вариант №24).pdf

НОВИНКА: отчеты по практикам! Поиск - по названию предприятия в тэге. База учебных материалов МГТУ им. Н.Э. Баумана в формате pdf, оригиналы файлов отсутствуют (если иное не оговорено в описании). Вопросы задавайте ДО покупки в комментариях под файлами.