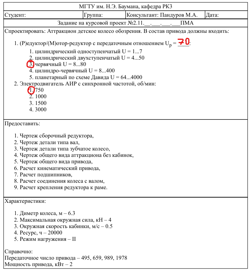
Для студентов МГТУ им. Н.Э.Баумана по предмету Детали машин (ДМ)Аттракцион детское колесо обозренияАттракцион детское колесо обозрения
5,005528
2025-06-262025-06-26СтудИзба
Курсовая работа: Аттракцион детское колесо обозрения
Описание
Характеристики курсовой работы
Предмет
Учебное заведение
Семестр
Просмотров
6
Размер
14,14 Mb
Преподаватели
Список файлов
Червячный редуктор
Модели
Колесо обозрения.cdw
Колесо обозрения.pdf
Колесо в сборе.a3d
Колесо червячное.cdw
Колесо червячное.m3d
Колесо червячное.pdf
Колесо.m3d
Корпус (ред).m3d
Корпус.m3d
Крышка колесо глухая.m3d
Крышка колесо сквозная передняя.m3d
Крышка колесо сквозная.m3d
Крышка быстроходного вала глухая.m3d
Крышка быстроходного вала сквозная.m3d
Крышка тихоходного вала глухая.m3d
Крышка тихоходного вала сквозная.m3d
Опора колеса.m3d
Опора 2.m3d
Общий вид.cdw
Общий вид.pdf
Полукорпус нижний.m3d
Полукорпус верхний.m3d
Подшипник 3153144H ГОСТ 24696-81.m3d
Вал быстроходный.m3d
Вал тихоходный.cdw
Вал тихоходный.m3d
Вал тихоходный.pdf
Редуктор (старый).a3d
Редуктор.a3d
Комментарии
Нет комментариев
Стань первым, кто что-нибудь напишет!

МГТУ им. Н.Э.Баумана


















