Для студентов ИДДО НИУ «МЭИ» по предмету Цифровая обработка сигналов (ЦОС)КМ-3. Задание по Matlab/Scilab. Контрольная работа - вариант 4 (НОВАЯ РЕДАКЦИЯ/2024!)КМ-3. Задание по Matlab/Scilab. Контрольная работа - вариант 4 (НОВАЯ РЕДАКЦИЯ/2024!)
5,0057
2024-05-15СтудИзба

ДЗ КМ-3: КМ-3. Задание по Matlab/Scilab. Контрольная работа - вариант 4 (НОВАЯ РЕДАКЦИЯ/2024!) вариант 4

Описание

Внимание! Все работы представлены исключительно для ознакомления.
Необходимо переделывать работу под себя, так как при самостоятельном выполнении у каждого студента будут разные сигналы в первом задании. Так же внимательно сверяйте задание со своим.

1. Изучить работу источников сигналов: STEP_FUNCTION, PULSE_SC, GENSIN_f и RAND_m (группа Sources), осциллографа CSCOPE (группа Sinks, здесь придется добавить источник CLOCK_c для синхронизации осциллографа).
Методические указания: следует установить длительность счета на уровне 3-5 периодов сигнала; шаг счета примерно в 1000 раз меньше периода сигнала. Необходимо испытать источники сигналов при различных настройках, сделать выводы о влиянии параметров на получаемый сигнал.
2. Привести пример «дискретизации» аналогового сигнала (синусоида с круговой частотой 1 и амплитудой 1), путем перемножения этого сигнала с последовательностью коротких прямоугольных импульсов (амплитудой 1, длительность импульса 2% от периода, период следования импульсов необходимо выбрать так, чтобы на периоде синусоиды было 10-15 импульсов). Повторить эксперимент, увеличив частоту синусоидального сигнала в 10 раз, частоту следования импульсов при этом следует оставить прежней. Сделать выводы.
Методические указания: перемножение осуществляется блоком PRODUCT из группы Mathematical operations.
3. Осуществить квантование дискретного сигнала, полученного в п. 2. Для этого использовать блок QUANT_f группы Discontinuities c шагом 0.05. Используя сумматор (блок SUMMATION группы Mathematical operations), вычислить разность дискретного и квантованного сигнала - ошибку квантования.
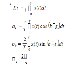
4. Используя блоки INTEGRAL_f (группа Continuous time systems), GAIN_f (группа Mathematical operations) и AFFICH_m (группа Sinks) провести вычисление среднего значения X0 и коэффициентов ak, bk первых пяти гармоник последовательности прямоугольных импульсов x(t) (амплитуда 10, длительность импульса (12+N*5)% периода, где N – младшая значащая цифра в номере зачетной книжки студента, период следования импульсов 0,01 с) по формулам (результат - 11 чисел в блоках AFFICH_m):
здесь T - период x(t).
Результаты выполнения: файл в pdf с скриншотами моделей Xcos, осциллограммами и вашими выводами о проделанной работе.
Показать/скрыть дополнительное описание

Курс Цифровая обработка сигналов (ИДДО ЦОС-Б-3-1-ЗаО).

Файлы условия, демо

📢 Есть вопросы или нужна помощь? Не знаете, как оформить заказ или оплатить?
👉 Просто нажмите кнопку Написать эксперту — я сразу отвечу, помогу разобраться и оформить всё за вас. 💬
🔥 Быстро. Удобно. Без лишних сложностей!

Характеристики домашнего задания

Учебное заведение
Номер задания
Вариант
Программы
Теги
Просмотров
85
Качество
Идеальное компьютерное
Размер
568,16 Kb

Преподаватели

Список файлов

SciLAB вар 4 корр.docx
1.1.STEP.zcos
1.2.PULSE.zcos
1.3.GENSIN.zcos
1.4.RAND.zcos
4.Spectr.zcos
Картинка-подпись
Гарантия сдачи без лишних хлопот! ✅🎓 Ответы на тесты по любым дисциплинам, базы вопросов, работы и услуги для Синергии, МЭИ и других вузов – всё уже готово! 🚀 🎯📚 Гарантия качества – или возврат денег! 💰✅

Комментарии

Нет комментариев
Стань первым, кто что-нибудь напишет!
Поделитесь ссылкой:
Базовая цена: 1 490 руб.
Выполнение другого варианта Услуга за 1290 руб.
Расширенная гарантия +3 недели гарантии, +10% цены
Рейтинг покупателей
5 из 5
Поделитесь ссылкой:
Сопутствующие материалы

Подобрали для Вас услуги

Вы можете использовать домашнюю работу для примера, а также можете ссылаться на неё в своей работе. Авторство принадлежит автору работы, поэтому запрещено копировать текст из этой работы для любой публикации, в том числе в свою домашнюю работу в учебном заведении, без правильно оформленной ссылки. Читайте как правильно публиковать ссылки в своей работе.
Свежие статьи
Популярно сейчас
Почему делать на заказ в разы дороже, чем купить готовую учебную работу на СтудИзбе? Наши учебные работы продаются каждый год, тогда как большинство заказов выполняются с нуля. Найдите подходящий учебный материал на СтудИзбе!
Ответы на популярные вопросы
Да! Наши авторы собирают и выкладывают те работы, которые сдаются в Вашем учебном заведении ежегодно и уже проверены преподавателями.
Да! У нас любой человек может выложить любую учебную работу и зарабатывать на её продажах! Но каждый учебный материал публикуется только после тщательной проверки администрацией.
Вернём деньги! А если быть более точными, то автору даётся немного времени на исправление, а если не исправит или выйдет время, то вернём деньги в полном объёме!
Да! На равне с готовыми студенческими работами у нас продаются услуги. Цены на услуги видны сразу, то есть Вам нужно только указать параметры и сразу можно оплачивать.
Отзывы студентов
Ставлю 10/10
Все нравится, очень удобный сайт, помогает в учебе. Кроме этого, можно заработать самому, выставляя готовые учебные материалы на продажу здесь. Рейтинги и отзывы на преподавателей очень помогают сориентироваться в начале нового семестра. Спасибо за такую функцию. Ставлю максимальную оценку.
Лучшая платформа для успешной сдачи сессии
Познакомился со СтудИзбой благодаря своему другу, очень нравится интерфейс, количество доступных файлов, цена, в общем, все прекрасно. Даже сам продаю какие-то свои работы.
Студизба ван лав ❤
Очень офигенный сайт для студентов. Много полезных учебных материалов. Пользуюсь студизбой с октября 2021 года. Серьёзных нареканий нет. Хотелось бы, что бы ввели подписочную модель и сделали материалы дешевле 300 рублей в рамках подписки бесплатными.
Отличный сайт
Лично меня всё устраивает - и покупка, и продажа; и цены, и возможность предпросмотра куска файла, и обилие бесплатных файлов (в подборках по авторам, читай, ВУЗам и факультетам). Есть определённые баги, но всё решаемо, да и администраторы реагируют в течение суток.
Маленький отзыв о большом помощнике!
Студизба спасает в те моменты, когда сроки горят, а работ накопилось достаточно. Довольно удобный сайт с простой навигацией и огромным количеством материалов.
Студ. Изба как крупнейший сборник работ для студентов
Тут дофига бывает всего полезного. Печально, что бывают предметы по которым даже одного бесплатного решения нет, но это скорее вопрос к студентам. В остальном всё здорово.
Спасательный островок
Если уже не успеваешь разобраться или застрял на каком-то задание поможет тебе быстро и недорого решить твою проблему.
Всё и так отлично
Всё очень удобно. Особенно круто, что есть система бонусов и можно выводить остатки денег. Очень много качественных бесплатных файлов.
Отзыв о системе "Студизба"
Отличная платформа для распространения работ, востребованных студентами. Хорошо налаженная и качественная работа сайта, огромная база заданий и аудитория.
Отличный помощник
Отличный сайт с кучей полезных файлов, позволяющий найти много методичек / учебников / отзывов о вузах и преподователях.
Отлично помогает студентам в любой момент для решения трудных и незамедлительных задач
Хотелось бы больше конкретной информации о преподавателях. А так в принципе хороший сайт, всегда им пользуюсь и ни разу не было желания прекратить. Хороший сайт для помощи студентам, удобный и приятный интерфейс. Из недостатков можно выделить только отсутствия небольшого количества файлов.
Спасибо за шикарный сайт
Великолепный сайт на котором студент за не большие деньги может найти помощь с дз, проектами курсовыми, лабораторными, а также узнать отзывы на преподавателей и бесплатно скачать пособия.
Популярные преподаватели
Добавляйте материалы
и зарабатывайте!
Продажи идут автоматически
6963
Авторов
на СтудИзбе
264
Средний доход
с одного платного файла
Обучение Подробнее
{user_main_secret_data}