Для студентов ИДДО НИУ «МЭИ» по предмету Цифровая обработка сигналов (ЦОС)Помогу выполнить - КМ-3. Задание по Matlab/Scilab. Контрольная работа - любой вариант за 3 суток!Помогу выполнить - КМ-3. Задание по Matlab/Scilab. Контрольная работа - любой вариант за 3 суток!
5,005233
2023-10-162025-07-12СтудИзба
Услуга: Помогу выполнить - КМ-3. Задание по Matlab/Scilab. Контрольная работа - любой вариант за 3 суток!
Бестселлер
-30%
Описание
Помогу выполнить - КМ-3. Задание по Matlab/Scilab. Контрольная работа - быстро и качественно!
➡️ Готовые работы по курсу ⬅️
Задание:
1.Изучить работу источников сигналов: STEP_FUNCTION, PULSE_SC, GENSIN_f и RAND_m (группа Sources), осциллографа CSCOPE (группа Sinks, здесь придется добавить источник CLOCK_c для синхронизации осциллографа). ![]()
➡️ Готовые работы по курсу ⬅️
Задание:
1.Изучить работу источников сигналов: STEP_FUNCTION, PULSE_SC, GENSIN_f и RAND_m (группа Sources), осциллографа CSCOPE (группа Sinks, здесь придется добавить источник CLOCK_c для синхронизации осциллографа).
Методические указания: следует установить длительность счета на уровне 3-5 периодов сигнала; шаг счета примерно в 1000 раз меньше периода сигнала. Необходимо испытать источники сигналов при различных настройках, сделать выводы о влиянии параметров на получаемый сигнал.
2.Привести пример «дискретизации» аналогового сигнала (синусоида с круговой частотой 10 и амплитудой 0,5), путем перемножения этого сигнала с последовательностью коротких прямоугольных импульсов (амплитудой 1, длительность импульса 2% от периода, период следования импульсов необходимо выбрать так, чтобы на периоде синусоиды было 10-15 импульсов). Повторить эксперимент, увеличив частоту синусоидального сигнала в 10 раз, частоту следования импульсов при этом следует оставить прежней. Сделать выводы.
Методические указания: перемножение осуществляется блоком PRODUCT из группы Mathematical operations.
3.Осуществить квантование дискретного сигнала, полученного в п. 2. Для этого использовать блок QUANT_f группы Discontinuities c шагом 0.01. Используя сумматор (блок SUMMATION группы Mathematical operations), вычислить разность дискретного и квантованного сигнала - ошибку квантования.
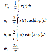
4.Используя блоки INTEGRAL_f (группа Continuous time systems), GAIN_f (группа Mathematical operations) и AFFICH_m (группа Sinks) провести вычисление среднего значения X0 и коэффициентов ak, bk первых пяти гармоник последовательности прямоугольных импульсов x(t) (амплитуда 5, длительность импульса (17+N*5)% периода, где N – номер по варианту, период следования импульсов 0,01 с) по формулам (результат - 11 чисел в блоках AFFICH_m):

здесь T - период x(t).
Результаты выполнения: файл в pdf с скриншотами моделей Xcos, осциллограммами и вашими выводами о проделанной работе.
Файлы условия, демо
Характеристики домашнего задания
Учебное заведение
Номер задания
Вариант
Программы
Теги
Просмотров
358
Качество
Идеальное компьютерное
Срок выполнения
4 суток
Преподаватели

Гарантия сдачи без лишних хлопот! ✅🎓 Ответы на тесты по любым дисциплинам, базы вопросов, работы и услуги для Синергии, МЭИ и других вузов – всё уже готово! 🚀 🎯📚 Гарантия качества – или возврат денег! 💰✅
Комментарии

m.nikita.g: Если работа не будет принята преподавателем или потребуются правки, вы внесёте необходимые изменения?
Разумеется

Если работа не будет принята преподавателем или потребуются правки, вы внесёте необходимые изменения?

Отзыв
отличное качество!