Для студентов НГТУ по предмету Цифровая обработка сигналов (ЦОС)РГЗ №1 - Вариант 8 Подвариант 4РГЗ №1 - Вариант 8 Подвариант 4
5,0051
2022-10-062022-10-06СтудИзба
ДЗ 1: РГЗ №1 - Вариант 8 Подвариант 4 вариант 8-4
Описание
1. По заданным разностным уравнениям цифровых цепей
проверьте их физическую реализуемость (каузальность), стационарность, линейность и устойчивость:
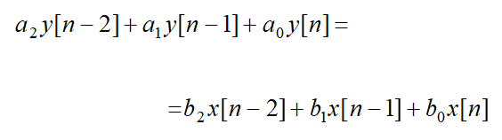
2. По разностному уравнению: ![]()
Составьте структурную схему и постройте график импульсной характеристики (первые 10 значений) устойчивой дискретной цепи. - Рассчитайте АЧХ и ФЧХ цепи, постройте графики.
- Постройте нуль-полюсную диаграмму, обозначьте область сходимости -преобразования ИХ.
Характеристики домашнего задания
Учебное заведение
Семестр
Номер задания
Вариант
Программы
Просмотров
6
Качество
Идеальное компьютерное
Размер
69,21 Kb
Список файлов
РГЗ №1 - Вариант 8 Подвариант 4.docx

Вам все понравилось? Получите кэшбэк - 40 рублей на Ваш счёт при покупке. Поставьте оценку и напишите положительный комментарий к купленному файлу. После Вы получите деньги на ваш счет.