Для студентов ИДДО НИУ «МЭИ» по предмету Безопасность жизнедеятельности (БЖД и ГРОБ или ОБЖ)Курс Безопасность жизнедеятельности - Полный/Аттестационный курс Итоговая работаКурс Безопасность жизнедеятельности - Полный/Аттестационный курс Итоговая работа
4,99522050
2025-03-092025-03-09СтудИзба
💼 База ответов к экзамену - курс Безопасность жизнедеятельности 📊
Ответы к экзамену Экзамен: Курс Безопасность жизнедеятельности - Полный/Аттестационный курс Итоговая работа
Описание
Курс Аналитические информационные системы - база ответов к тестам:
➡️Любой предмет | Любой тест | Любая практика | ВКР (Диплом)⬅️
🗝️ ▶Помощь с сессией/долгами под ключ ◀ 🗝️
- Полный курс_Итоговый тест_БЖ-Б-4-1-За
- Аттестационный курс

➡️Любой предмет | Любой тест | Любая практика | ВКР (Диплом)⬅️
🗝️ ▶Помощь с сессией/долгами под ключ ◀ 🗝️
Список вопросов
Наиболее опасным из перечисленных является электрический ток частотой:
Наибольшее допустимое время защитного автоматического отключения питания (Номинальное фазное напряжение U=220В)
Двухфазное прикосновение (прямое) -
Электрическое поле создается:
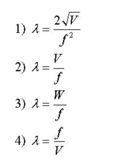
Важной характеристикой электромагнитной волны является длина волны I, которая связана с частотой электромагнитных колебаний f соотношением:
![]()

Какими путями осуществляется терморегуляция в организме человека?
Признаки внешнего облучения?
Магнитное поле создается:
Что используется в качестве максимальной токовой защиты, обеспечивающей быстрое отключение электроустановки в аварийном режиме?
С какого момента определяется состояние клинической смерти при поражении электрическим током?
Являются ли генетические радиационные эффекты облучения детерминированными?
К параметрам, характеризующим микроклимат производственных помещений, относятся:
Чему равно напряжение корпуса электроустановки относительно земли при заземленном корпусе?
![]()

Для учета того, что разные органы или ткани человека могут облучаться неравномерно, причем они имеют разную чувствительность к облучению (радиочувствительность), используется
Произведение «тканевой дозы» (дозы на орган) на взвешивающий коэффициент для излучения это -
Нужно ли продолжать массаж сердца и искусственное дыхание после появления признаков жизни у пораженного электрическим током?
Принцип работы УЗО:
Какие существуют пути воздействия ионизирующих излучений на живой организм?
Какая интенсивность звука соответствует уровню интенсивности LI=10 дБ:
По частотной характеристике различают шумы:
Чем обусловлен естественный радиационный фон окружающей среды?
Пострадавший находится в состоянии клинической смерти, помощника у Вас нет, какова последовательность оказания помощи?
Как подразделяются ионизирующие излучения?
Перегревания организма выше допустимого уровня:
К каким последствиям приводит действие электромагнитных излучений на эндокринную систему человека?
При наличии теплового облучения работающих температура воздуха на рабочих местах не должна превышать для категории работ ||а следующих величин
Электрическое поле создается:
Полное сопротивление тела человека при увеличении частоты:
Защита при косвенном прикосновении
Длительно допустимые напряжение прикосновения Uh и ток Ih при аварийном режиме работы электроустановки напряжением до 1 кВ и 50Гц
Эти вопросы в других коллекциях
Характеристики ответов (шпаргалок) к экзамену
Тип
Коллекция: Ответы (шпаргалки) к экзамену
Учебное заведение
Номер задания
Теги
Просмотров
9
Качество
Идеальное компьютерное
Количество вопросов
Преподаватели

Гарантия сдачи без лишних хлопот! ✅🎓 Ответы на тесты по любым дисциплинам, базы вопросов, работы и услуги для Синергии, МЭИ и других вузов – всё уже готово! 🚀 🎯📚 Гарантия качества – или возврат денег! 💰✅