Для студентов МФПУ «Синергия» по предмету Анализ финансово-хозяйственной деятельностиАнализ финансово-хозяйственной деятельностиАнализ финансово-хозяйственной деятельности
5,0051
2025-03-042025-03-04СтудИзба
Ответы к экзамену: Анализ финансово-хозяйственной деятельности
Описание
Результат зависит от того, какие вопросы вам попадутся. Вы приобретаете ответы на нижеперечисленные вопросы, а не гарантированную сдачу теста на высокий балл.
38 вопросов итогового теста.
Анализ финансово-хозяйственной деятельности
1. Фондоемкость основных средств определяется отношением …
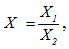
2. Зависимость, выраженная формулой
– это …
3. Для анализа внешней среды предприятия рекомендуется использовать метод …
4. Рентабельность акционерного капитала определяется величиной …
5. Производственная программа – это …
6. Бенчмаркинг – это …
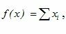
7. Зависимость, выраженная формулой
– это …
8. SWOT-анализ – это …
9. Одной из характеристик трудового потенциала является …
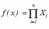
10. Зависимость, выраженная формулой
– это …
11. Себестоимость отдельного вида продукции (работ, услуг) …
12. Дисконтированный срок окупаемости инвестиций представляет собой период времени до момента, с которого …
13. Обеспеченность предприятия основными производственными фондами определяют при помощи коэффициента …
14. Уменьшение доли продукции высшего сорта в общем объеме производства приводит …
15. Формуле производительности труда соответствует … форма математической зависимости
16. К интенсивным факторам расширения производства относят …
17. Уровень затрат основных производственных фондов на единицу продукции определяют с помощью показателя …
18. Коэффициент фондовооруженности труда определяется как отношение …
19. PEST-анализ – это инструмент, позволяющий выявить … аспекты внешней среды, влияющие на деятельность предприятия
20. Фондоотдача основных средств определяется отношением …
21. Причины изменения абсолютных и относительных финансовых показателей выявляет … анализ
22. В анализе хозяйственной деятельности выделяют внутренний и внешний анализ в зависимости от …
23. Коэффициент оборачиваемости материальных оборотных средств отражает число оборотов … за период
24. Объектом комплексного экономического анализа …
25. Период оборота материальных оборотных средств на предприятии зависит от …
26. Качественным показателем использования ресурсов является …
27. Производственные резервы – это …
28. Снижение затрат на производство при постоянных ценах …
29. Валовая продукция – это …
30. Экономический анализ – это …
31. Коэффициент износа основных средств определяется как отношение …
32. Объем продаж за период определяется по формуле «…»
33. Одним из факторов производительности труда является …
34. Рост цен при постоянных затратах на производство реализуемой продукции …
35. Производительность труда рассчитывается как отношение …
36. Прибыль организации характеризует … организации
37. Источниками информации для комплексного экономического анализа являются …
38. Уменьшение доли выбывших основных средств относительно доли поступивших основных средств приводит …
38 вопросов итогового теста.
Анализ финансово-хозяйственной деятельности
1. Фондоемкость основных средств определяется отношением …
- выручки к валюте баланса
- среднегодовой стоимости основных производственных фондов к выручке от реализации
- выручки от реализации к среднегодовой стоимости основных производственных фондов
2. Зависимость, выраженная формулой

- мультипликативная зависимость
- комбинированная зависимость
- аддитивная зависимость
- стохастическая зависимость
3. Для анализа внешней среды предприятия рекомендуется использовать метод …
- детерминированного факторного анализа
- сравнения
- FQD-анализа
- SWOT-анализа
4. Рентабельность акционерного капитала определяется величиной …
- валовой прибыли
- чистой прибыли
- прибыли от реализации
5. Производственная программа – это …
- программа стратегического развития предприятия
- план, который отражает основные направления и задачи развития в текущем периоде
- свод ключевых показателей по отрасли, в которой работает исследуемое предприятие
6. Бенчмаркинг – это …
- аналитическая деятельность, посредством которой фирма изучает продукцию и маркетинговый процесс конкурентов
- способ стохастического факторного анализа
- аналитическая деятельность, посредством которой фирма изучает продукцию и маркетинговый процесс поставщиков
7. Зависимость, выраженная формулой

- мультипликативная зависимость
- комбинированная зависимость
- аддитивная зависимость
- стохастическая зависимость
8. SWOT-анализ – это …
- инструмент, заключающийся в разделении факторов и явлений на две категории: сильные стороны, слабые стороны компании
- метод анализа, заключающийся в разделении факторов и явлений на четыре категории: сильные стороны, слабые стороны, возможности и угрозы
- метод детерминированного факторного анализа метод стохастического факторного анализа
9. Одной из характеристик трудового потенциала является …
- доля переменной части фонда заработной платы
- удельный вес рабочих в общей численности персонала
- финансовый рычаг
10. Зависимость, выраженная формулой

- мультипликативная зависимость
- комбинированная зависимость
- аддитивная зависимость
- кратная зависимость
11. Себестоимость отдельного вида продукции (работ, услуг) …
- находится в обратной зависимости от цен на использованные сырье и материалы
- находится в прямой зависимости от цен на использованные сырье и материалы
- не зависит от цен на использованные сырье и материалы
12. Дисконтированный срок окупаемости инвестиций представляет собой период времени до момента, с которого …
- инвестиционные доходы становятся равными нулю
- инвестиционные вложения в проект начинают покрываться дисконтированными доходами от его реализации
- инвестиционные вложения становятся равными нулю
13. Обеспеченность предприятия основными производственными фондами определяют при помощи коэффициента …
- фондоотдачи
- фондовооруженности
- фондоемкости
14. Уменьшение доли продукции высшего сорта в общем объеме производства приводит …
- к увеличению объема готовой продукции в денежном выражении
- к снижению объема готовой продукции в денежном выражении
- к снижению выручки от продаж
15. Формуле производительности труда соответствует … форма математической зависимости
- аддитивная
- мультипликативная
- кратная
- смешанная
16. К интенсивным факторам расширения производства относят …
- увеличение количества используемых трудовых ресурсов
- повышение времени использования рабочей силы
- повышение эффективности использования труда
- увеличение количества используемых материальных ресурсов
17. Уровень затрат основных производственных фондов на единицу продукции определяют с помощью показателя …
- фондоотдачи
- фондовооруженности
- фондоемкости
18. Коэффициент фондовооруженности труда определяется как отношение …
- стоимости основных средств к среднесписочной численности работников
- остаточной стоимости основных средств к явочному числу работников
- в смену выручки от продаж к числу специалистов в организации
19. PEST-анализ – это инструмент, позволяющий выявить … аспекты внешней среды, влияющие на деятельность предприятия
- политические, экономические, социальные и технологические
- ценовые, экологические, скрытые и технологические
- целевые, экологические, сопутствующие и технологические
20. Фондоотдача основных средств определяется отношением …
- выручки к валюте баланса среднегодовой стоимости основных производственных фондов
- к выручке от реализации
- выручки от реализации к среднегодовой стоимости основных производственных фондов
21. Причины изменения абсолютных и относительных финансовых показателей выявляет … анализ
- горизонтальный
- факторный
- коэффициентный
- вертикальный
22. В анализе хозяйственной деятельности выделяют внутренний и внешний анализ в зависимости от …
- субъектов анализа
- содержания программы
- анализа объектов управления
23. Коэффициент оборачиваемости материальных оборотных средств отражает число оборотов … за период
- запасов предприятия
- основных средств предприятия
- готовой продукции
24. Объектом комплексного экономического анализа …
- выступают способы экономического анализа
- выступает хозяйственная деятельность организации
- выступают различные правила и приемы экономического анализа
25. Период оборота материальных оборотных средств на предприятии зависит от …
- оборачиваемости материальных оборотных средств
- рентабельности предприятия
- оборачиваемости основных средств
26. Качественным показателем использования ресурсов является …
- фондоотдача
- численность работающих
- среднегодовая стоимость основных производственных фондов
- качество используемого сырья
27. Производственные резервы – это …
- дополнительные капитальные вложения
- неучтенные материальные и трудовые ресурсы
- неиспользованные возможности снижения удельного расхода материалов, труда, капитальных затрат
28. Снижение затрат на производство при постоянных ценах …
- повлечет за собой увеличение рентабельности продаж
- повлечет за собой уменьшение рентабельности продаж
- не оказывает влияние на рентабельность продаж
29. Валовая продукция – это …
- продукция, на которую перешло право собственности к покупателю
- произведенная продукция (выполненные работы, услуги), включая незавершенное производство
- вся произведенная продукция (выполненные работы, услуги) без учета незавершенного производства
30. Экономический анализ – это …
- научный способ познания сущности экономических явлений и процессов, основанный на расчленении их на составные части и изучении их во всем многообразии связей и зависимостей
- системный и комплексный учет разнообразных факторов, качественный подбор достоверной информации, что является важной функцией управления способ повышения эффективности работы предприятия на основе системного изучения всех видов деятельности и обобщения их результатов
- наука об установлении и изучении признаков, измерении основных характеристик, отражающих состояние машин, приборов, технических систем, экономики и финансов хозяйствующего субъекта
31. Коэффициент износа основных средств определяется как отношение …
- первоначальной стоимости основных средств к накопленной амортизации
- накопленной амортизации к остаточной стоимости основных средств
- накопленной амортизации к первоначальной стоимости основных средств
32. Объем продаж за период определяется по формуле «…»
- Запасы готовой продукции на начало периода + Объем выпуска продукции за период – Запасы готовой продукции на конец периода
- Запасы готовой продукции на начало периода – Объем выпуска продукции за период + Запасы готовой продукции на конец периода
- Запасы готовой продукции на начало периода + Объем выпуска продукции за период + Запасы готовой продукции на конец периода
33. Одним из факторов производительности труда является …
- зарплатоемкость производства и реализации продукции
- трудоемкость производства и реализации продукции
- фондоотдача материалоемкость
34. Рост цен при постоянных затратах на производство реализуемой продукции …
- влечет за собой увеличение рентабельности продаж
- влечет за собой уменьшение рентабельности продаж
- не оказывает влияние на рентабельность продаж
35. Производительность труда рассчитывается как отношение …
- объема продукции к численности рабочих
- численности рабочих к объему продукции
- объема продукции к фонду оплаты труда
36. Прибыль организации характеризует … организации
- экономический эффект работы
- экономическую эффективность работы
- деловую активность доходность работы
37. Источниками информации для комплексного экономического анализа являются …
- плановая и бухгалтерская информация
- финансовая отчетность
- статистическая информация
- комплекс всей информации
38. Уменьшение доли выбывших основных средств относительно доли поступивших основных средств приводит …
- к уменьшению коэффициента ликвидации
- к увеличению коэффициента расширения
- к увеличению коэффициента износа
Характеристики ответов (шпаргалок) к экзамену
Учебное заведение
Семестр
Просмотров
5
Размер
38,14 Kb
Список файлов
Анализ финансово-хозяйственной деятельности.docx


ЕСЛИ Я ПОМОГЛА ВАМ, ПОЖАЛУЙСТА, ОСТАВЬТЕ 5 ЗВЁЗД И ПОЛОЖИТЕЛЬНЫЙ КОММЕНТАРИЙ. СПАСИБО ВАМ БОЛЬШОЕ! И ХОРОШИХ ВАМ ОЦЕНОК!