Для студентов ИГЭУ им. Ленина по предмету Аналитическая механикаСвободное падение камняСвободное падение камня
5,00569
2025-03-162025-05-11СтудИзба
Лабораторная работа 1: Свободное падение камня
Описание
- Цель работы:
- Задачи:
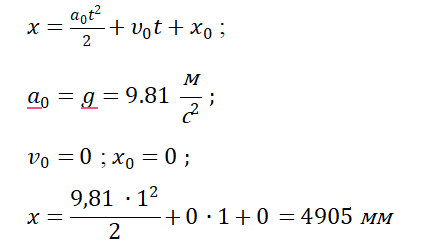
2. Оценка падения камня с помощью аналитического расчета.
3. Сравнение и оценка погрешности.
- Теоретическая часть:

- Практическая часть:
2. Присваиваем ему массу 10 кг;
3. Применяем к steps значение 100;
4. Применяем к end Time значение 1.0 с;
5. Отправляем шарик в свободное падение;
6. Фиксируем результат.
- Оценка погрешности и сравнение
- Вывод
Характеристики лабораторной работы
Предмет
Учебное заведение
Семестр
Номер задания
Программы
Теги
Просмотров
11
Качество
Идеальное компьютерное
Размер
85,51 Kb
Преподаватели
Список файлов
Лаба аналтическая механика 1.docx

🎓Помощь студентам Ивановских ВУЗов🎓 ❤️ Каждая приобретенная работа служит стимулом для добавления новых материалов и упрощает учебный процесс.