лавинный (989957)
Текст из файла
Лавинный пробой в полупроводниках
Рассмотрим случай однородного электрического поля в полупроводнике. Если двигаясь вдоль силовых линий электрического поля электрон на расстоянии, равном длине свободного пробега λ, наберет энергию, равную либо большую, чем ширина запрещенной зоны, то, неупруго рассеиваясь, этот электрон может вызвать генерацию еще одной электронно дырочной пары. Дополнительно нагенерированные свободные носители также будут участвовать в аналогичном процессе. Это явление лавинного размножения свободных носителей в условиях сильного электрического поля получило название лавинного пробоя. На рисунке 4.12 показана схема, иллюстрирующая лавинный пробой.
Размеры геометрической области полупроводника W, в которой происходит лавинное умножение, должны быть существенно больше длины свободного пробега электрона λ. Соотношения, определяющие условие лавинного пробоя, будут следующие:
(4.22)
Рис. 4.12. Схема, иллюстрирующая лавинный пробой в однородном полупроводнике [27, 10]:
а) распределение электрического поля, доноров и акцепторов и свободных носителей; б) распределение токов; в) зонная диаграмма, иллюстрирующая лавинное умножение в ОПЗ
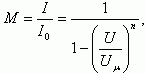
Одним из параметров лавинного пробоя является коэффициент лавинного умножения M, определяемый как количество актов лавинного умножения в области сильного электрического поля. Если обозначить начальный ток I0, то после лавинного умножения величина тока будет иметь вид: I = M·I0,
где Uμ - напряжение лавинного пробоя, U - напряжение, n - коэффициент, равный 3 или 5 для Ge или Si соответственно.
Для несимметричного p+-n перехода расчет дает следующее значение напряжения лавинного пробоя VB при условии, что максимальное значение поля в ОПЗ p+-n перехода можно приближенно оценить как среднее:
(4.23)
Величина электрического поля Еm, определяемая соотношением (4.23), зависит от величины и типа легирующей концентрации ND, NA, температуры и лежит в диапазоне Еm = (4÷5)·105 В/см для кремния и Еm = (2÷3)·105 В/см для германия.
Характеристики
Тип файла документ
Документы такого типа открываются такими программами, как Microsoft Office Word на компьютерах Windows, Apple Pages на компьютерах Mac, Open Office - бесплатная альтернатива на различных платформах, в том числе Linux. Наиболее простым и современным решением будут Google документы, так как открываются онлайн без скачивания прямо в браузере на любой платформе. Существуют российские качественные аналоги, например от Яндекса.
Будьте внимательны на мобильных устройствах, так как там используются упрощённый функционал даже в официальном приложении от Microsoft, поэтому для просмотра скачивайте PDF-версию. А если нужно редактировать файл, то используйте оригинальный файл.
Файлы такого типа обычно разбиты на страницы, а текст может быть форматированным (жирный, курсив, выбор шрифта, таблицы и т.п.), а также в него можно добавлять изображения. Формат идеально подходит для рефератов, докладов и РПЗ курсовых проектов, которые необходимо распечатать. Кстати перед печатью также сохраняйте файл в PDF, так как принтер может начудить со шрифтами.














