1.3.1.5.11.2 Примеры расчета биквадратного ФНЧ (988232)
Текст из файла
Примеры расчета биквадратного ФНЧ
Пример 1. Пусть требуется рассчитать фильтр Чебышева шестого порядка с К=1, 1=0,1 дБ, fc=100 Гц. Данный фильтр будет состоять из трех звеньев с единичным коэффициентом передачи. Коэффициенты В и С, взятые из приложения А, имеют значения :
- для первого звена В=0,229387; С=1,129387;
- для второго звена В=0,626690; С=0,696374;
- для третьего звена В=0,856083; С=0,263361.
С учетом того, что значение емкости С1 выбирается из соотношения С1=10/fс , мкФ, можно записать, что С1 будет одинаково для всех звеньев и равно 0,1 мкФ.
С учетом (37) значение резистора R4 равно
Данный резистор также одинаков для всех звеньев фильтра. Имея значения коэффициентов В и С , значения R4 , C1 , c использованием (38) можно найти значения резисторов. Получим
- для первого звена :
- для второго звена :
- для третьего звена :
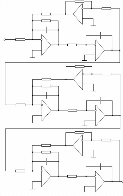
Полная принципиальная схема спроектированного фильтра представлена на рис. 17.
U1
14,2К
14,2К
69,8К
0,1
ОУ
ОУ
ОУ
ОУ
ОУ
ОУ
ОУ
ОУ
23К
25,5К
0,1
0,1
0,1
0,1
0,1
ОУ
18,7К
60,8К
60,8К
23К
U2
16К
16К
16К
16К
16К
16К
16К
16К
16К
звено 1
K=1
звено 2
K=1
звено 3
K=1
Рис. 17. Фильтр нижних частот Чебышева
с n=6, 1=0,1 дБ, fc=100 Гц.
Характеристики
Тип файла документ
Документы такого типа открываются такими программами, как Microsoft Office Word на компьютерах Windows, Apple Pages на компьютерах Mac, Open Office - бесплатная альтернатива на различных платформах, в том числе Linux. Наиболее простым и современным решением будут Google документы, так как открываются онлайн без скачивания прямо в браузере на любой платформе. Существуют российские качественные аналоги, например от Яндекса.
Будьте внимательны на мобильных устройствах, так как там используются упрощённый функционал даже в официальном приложении от Microsoft, поэтому для просмотра скачивайте PDF-версию. А если нужно редактировать файл, то используйте оригинальный файл.
Файлы такого типа обычно разбиты на страницы, а текст может быть форматированным (жирный, курсив, выбор шрифта, таблицы и т.п.), а также в него можно добавлять изображения. Формат идеально подходит для рефератов, докладов и РПЗ курсовых проектов, которые необходимо распечатать. Кстати перед печатью также сохраняйте файл в PDF, так как принтер может начудить со шрифтами.














