Проектирование узлов цифровой техники (967610), страница 3
Текст из файла (страница 3)
На входы комбинационного устройства поступают входные сигналы от трех датчиков. На выходе формируется выходной сигнал Р, равный 1 при десятичных кодах входных величин 0, 2, 3, 7. При остальных кодах Р = 0.
1. Представление проектируемого устройства как функционального блока. Проектируемое комбинационное устройство как функциональный блок с указанием входных и выходных сигналов и таблица истинности их связи указаны на рис. 5.
Таблица
истинности
Рис. 5
Логическое уравнение, связывающее входные и выходные сигналы в СДНФ, имеет вид
2.Минимизация логического уравнения. Для выполнения тождественных преобразований, приводящих логическое уравнение в СДНФ к минимизированной дизъюнктивной нормальной форме (ДНФ), используют карту Карно — Вейча.
В карте по адресам ее ячеек расставляют нули и единицы из таблицы истинности. Соседние единицы объединяются. Объединения могут охватывать 2, 4 и 8 ячеек. Одна и та же единица может входить в несколько объединений. Чем объединений меньше и чем они крупнее, тем эффективней минимизация.
В минимизированное уравнение вместо элементарных конъюнкций СДНФ записываются конъюнкции адресов объединений и элементарные конъюнкции единиц, объединить которые не удалось.
Карта Карно — Вейча, соответствующая таблице истинности, показана на рис. 6.
Используя' карту, получим минимизированное логическое уравнение, описывавшее заданную логическую связь между входными и выходными сигналами. Оно оказывается в базисе НЕ, И, ИЛИ:
Рис. 6 Логическая схема, реализующая полученное минимизированное уравнение, приведена на рис. 7, а. Расчет значений выходных сигналов по минимизированному уравнению представлен на рис. 7, б.
Логическая схема Расчет Р(Х)
а б
Рис. 7
3. Построение схемы электрической принципиальной.
Устройство может выполняться на любых приведенных в каталогах электронной промышленности микросхемах. Желательно, чтобы их количество было минимальным и обеспечивало заданное функционирование устройства. При небольшом числе элементов в логической схеме такой результат дает перевод их в единый базис.
Выполним схему на основе уравнения в базисе И—НЕ.
Преобразуем минимизированное уравнение, вводя двойную инверсию и пользуясь теоремой де Моргана:
Схема электрическая принципиальная, реализующая преобразованное логическое уравнение в базисе И—НЕ, представлена на рис. 8.
Схема электрическая принципиальная
Рис. 8
4. Расчет быстродействия комбинационного устройства. Быстродействие проектируемого устройства оценивается временем задержки распространения фронта сигнала от входов до выхода. Оно зависит как от времени задержки сигнала в каждом элементе применяемых микросхем, так и от времени переходного процесса заряда — разряда емкости проводов связи между элементами. Указанное в табл. 2 время задержки для каждого элемента соответствующих микросхем определяет некоторое их конструктивное расположение на плате (эти значения ориентировочные).
Возможно различное число элементов в разных путях распространения сигнала от входов до выхода. В этом случае время задержки устройства оценивают суммой задержек на отдельных элементах по пути с наибольшим их числом. В проектируемом устройстве (см. рис. 8) входной сигнал проходит по линии, включающей в себя три последовательно соединенных логических элемента К155ЛАЗ, следовательно, можно записать
5. Выполнение чертежа печатной платы. Чертеж печатной платы, реализующей схему электрическую принципиальную, представлен на рис. 9.
Задание 2. Спроектировать последовательностное устройство — счетчик с произвольным порядком счета для использования в автомате управления технологическим процессом.
Входные сигналы: НУ — начальная установка и С — переход к очередному состоянию.
Выходные сигналы: Q3, Q2, Q1. Десятичные коды последовательности выходных сигналов Q равны: 1,0,3,2,6,7,5. Первый код указывает исходное состояние выходов.
Счетчик должен осуществлять циклический счет в соответствии с заданной последовательностью выходных сигналов.
1. Представление проектируемого устройства как функционального блока. Проектируемое последовательностное устройство как функциональный блок и заданная таблица состояний указаны на рис. 10.
Заданное устройство должно иметь семь состояний. Выбрать два триггера нельзя, так как они обеспечат только четыре состояния. Три триггера обеспечивают до восьми состояний. Выбираем для построения 3 JK триггера.
2. Проектирование с использованием табличного метода. Таблицу переходов счетчика строят на основе заданной таблицы состояний. В ней каждому состоянию сигналов Q3, Q2 и Q1в строку записывают их переходы к последующему состоянию.
Для заданной таблицы состояний (см. рис. 10) таблица переходов указана на рис. 11.
Таблица переходов позволяет построить таблицу управляющих сигналов, применяемых в проектируемом устройстве триггеров.
Сторона расположения элементов
Рис. 9
Таблица состояний
Рис. 10
Таблица переходов
Характ.табл. JK-mpuггepa Характ.табл. D-триггера
Таблица управляющих сигналов триггеров
Рис. 11
Для этого используют характеристические таблицы триггеров JK или D (см, рис. 11). Эти таблицы описывают свойства управляемости триггеров: какие необходимо подать управляющие сигналы, чтобы обеспечить необходимый переход. Звездочкой помечены сигналы 0 или 1, в любом случае обеспечивающие переход.
Таблица управляющих сигналов триггеров проектируемого счетчика также указана на рис. И. В ней вместо переходов таблицы записаны соответствующие управляющие сигналы, обеспечивающие эти переходы. Таблица управляющих сигналов является таблицей истинности комбинационных схем выработки сигналов J и К для каждого из триггеров по сигналам Q (см. рис. 11).
Для трех входных сигналов таблица истинности, а соответственно и карта Карно — Вейча должны иметь восемь строк и восемь ячеек. Не используемое в управлении автоматом состояние в картах для минимизации, в данном случае сочетание 100, также помечено звездочкой. Никогда не возникающее состояние можно записать как 1 и использовать его для более эффективной минимизации. Соответствующие карты указаны на рис. 12.
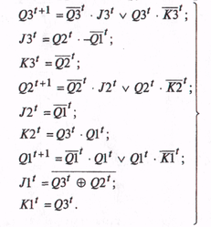
3. Представление уравнений функционирования счетчика:
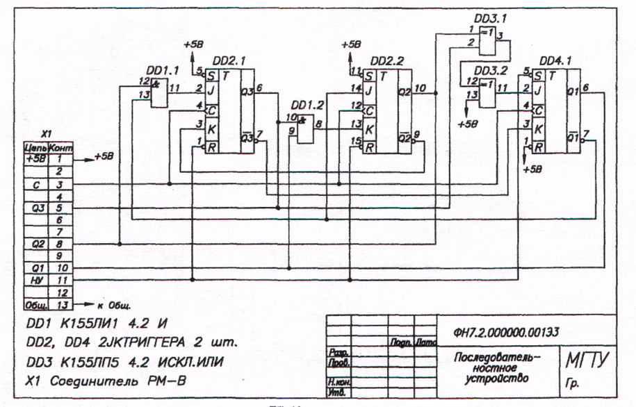
Выбираем микросхемы триггеров К155ТВ15 — два, JK триггера. По результатам минимизации строим схему электрическую принципиальную (рис. 13). Так как она входит в комплект конструкторской документации, ее необходимо соответствующим образом оформить.
-
Расчет значений входных и выходных сигналов. Значения сигналов Q, J и К после сигнала начальной установки и по сигналам перехода к последующим состояниям рассчитаны по уравнениям функционирования счетчика. Результаты расчета сведены в таблицу и представлены на рис. 14. Соответствующие графики изображены на том же рисунке.
Быстродействие счетчика как время задержки от поступления на вход соответствующего фронта сигнала С до установления сигнала Q может быть рассчитано по данным табл. 2 и по схеме электрической принципиальной.
Рис. 12
Рис. 13
Сигнала Q,J,K no тактам
Рис. 14
В данном задании предполагается, что такты поступления сигнала С перехода к новому состоянию определяются интервалами времени, необходимыми для выполнения технологических операций в установке, т.е. составляют порядка единиц или десятков секунд. Они несоизмеримо больше времени задержки прохождения сигнала в электронном устройстве. Поэтому в графиках (см. рис. 14) время задержки принято равным нулю.
5.Комплект конструкторской документации включает в себя: спецификацию, сборочный чертеж, схему электрическую принципиальную и чертеж печатной платы. Спецификация для разработанного последовательностного устройства приведена на рис. 15; сборочный чертеж - на рис. 16; чертеж печатной платы — на рис. 17.
Рис. 15
Рис. 16
Сторона расположения элементов
Рис. 17, а
Рис. 17, б
7. УКАЗАНИЕ К ВЫПОЛНЕНИЮ ЗАДАНИЯ 3
Микропроцессорная система, выполняющая обработку сигналов, согласно заданиям 1 и 2, в целом как функциональный блок представлена на рис. 18. Таблица истинности Р(Х) определяет соответствующее минимизированное уравнение (2). Таблица последовательности состояний сигналов Q представлена на рис. 10.
















