Отчёт (952898), страница 2
Текст из файла (страница 2)
Для связи с контроллером используются аналоговые и дискретные входы.
9. Как оценивается качество работы следящего привода?
О
ценка качества переходного процесса проводится для четырех сигналов задания скорости вращения ротора электродвигателя при одинаковой настройке регулятора контура скорости. После завершения каждого эксперимента результаты отображаются в виде графиков скорости и ошибки регулирования.
Опыты проводятся для четырех сигналов задания: 10 об./мин, 100 об./мин, 500 об./мин и 1000 об./мин.
После построения графиков определяется перерегулирование, время переходного процесса, амплитуда колебаний скорости ротора в установившемся режиме. Установившимся считать режим, при котором максимальная погрешность воспроизведения управляющего воздействия составляет не более ±5%. Расчет перерегулирования осуществляется по формуле:
, где
- максимальная скорость вращения ротора,
-установившаяся скорость вращения ротора. ТПП - время переходного процесса в системе.
Практическая часть
7.1 Скоростное управление
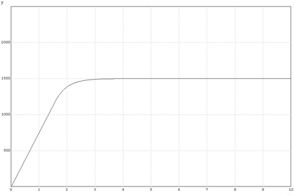
Задание 1. Определите настройки контура регулирования скорости двигателя на модели привода так, чтобы отсутствовало перерегулирование. Проведите экспериментальное исследование с использованием полученных вариантов настройки регулятора скорости. Зарисуйте график переходного процесса.
В контуре скорости
Задание 2. Определите настройки контура регулирования скорости двигателя на модели привода так, чтобы время переходного процесса было минимальным. Провести экспериментальное исследование с использованием полученных вариантов настройки регулятора скорости. Зарисуйте график переходного процесса.
Видим, что установившаяся скорость равна примерно 788 об/мин.
788 -5% = 741.
Курсором находим позицию, когда скорость достигнет этого значения, таким образом по оси X мы определим время переходного процесса. В данном случае Тп.п. = 0,019с
З
адание 3. Определите границу устойчивости системы управления, используя модель привода. Провести экспериментальное исследование с использованием полученных вариантов настройки регулятора скорости. Зарисуйте график переходного процесса.
В контуре скорости
При дальнейшем увеличении
, в системе начинаются автоколебания.
Данный график приведён для
7.2 Позиционное управление
Задание 1. Уточните настройки регулятора скорости ПЧ согласно заданию 2 раздела 7.1, получите характеристику переходного процесса привода под управлением ПЧ. Зарисуйте график переходного процесса.
Задание 2. Определите с использованием модели привода настройки контура регулирования положения ротора двигателя так, чтобы отсутствовало перерегулирование во время переходного процесса, проведите экспериментальное исследование с использованием полученных вариантов настройки регулятора положения. Зарисуйте график переходного процесса.
Задание 3. Определите с использованием модели привода настройки контура регулирования положения ротора двигателя так, чтобы время переходного процесса было минимально. проведите экспериментальное исследование с использованием полученных вариантов настройки регулятора положения. Зарисуйте график переходного процесса.
Было задано:
З
адание 4. Проведите с использованием модели привода настройку регулятора положения без использования регулятора скорости, реализованного на ПЧ, проведите экспериментальное исследование с использованием полученных вариантов настройки регулятора положения. график переходного процесса. Сравните результаты, полученные в задачах 2 и 3, сделайте выводы.
Было задано:
Задание 5. Определите с использованием модели привода границу устойчивости привода, используя последовательное увеличение коэффициентов регулятора. Настройки проводите на модели привода, проведите экспериментальное исследование с использованием полученных вариантов настройки регулятора положения. Зарисуйте график переходного процесса.
Было задано:
Испытания на стенде
Автоколебания
Положение 150
Положение 360
Положение 500
Скорость 750 время 10
Скорость 750 Ки=13
Скорость 750, без перерегулирования
10















