DZ_TU (804510)
Текст из файла
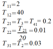
Исходные данные:
Рис. 1: Блок-схема управления антенной СЦР-584
Рис. 2: Схема работы РЛС (в вертикальной плоскости)
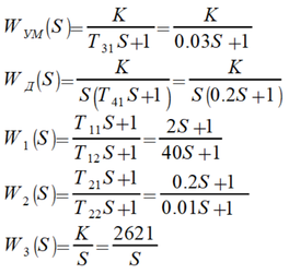
Передаточные функции:
Параметры:
K1 = 4
K2 = 10
K3 = 1.2 рад/с∙В
K4 = 0.005
T2 = 0.03 с
T3 = 0.2 с
Структурная схема:
Рис. 3: Структурная схема следящей системы РЛС
Передаточная функция всей системы:
-
Построим временные и частотные и характеристики элементов системы:
-
Усилитель мощности:
Рис. 4: Схема исследования усилителя мощности
-
Двигатель:
Рис. 5: Схема исследования двигателя
-
САУ в целом:
Рис. 6: Схема исследования САУ
-
Исследуем устойчивость САУ:
-
Критерий Гурвица:
-
Передаточная функция:
Применим формулу замыкания системы:
Получаем характеристическое уравнение:
Рассмотрим 3 случая K = 1, K = Kкр, К = 150.
-
K = 1
– система устойчивая.
-
K = Kкр = 38.3[3]
– система на границе устойчивости.
-
K = 150
– система неустойчивая.
-
Критерий Михайлова:
-
K = 1
График пересекает ось абсцисс левее точки (0; 0), то есть кривая против часовой стрелки последовательно проходит три полуплоскости, следовательно, система устойчива.
-
K = Kкр = 38.3[3]
График пересекает точку (0; 0), следовательно, система находится на границе устойчивости.
-
K =150
График пересекает ось абсцисс правее точки (0; 0), то есть не проходит последовательно три полуплоскости, следовательно, система неустойчива.
-
Критерий Найквиста–Михайлова
-
K = 1
Пересечение кривой оси абсцисс происходит до точки -1, следовательно, система устойчива.
-
K = Kкр = (T1 + T2)/(T1·T2) = 38.3[3]
Кривая пересекает ось абсцисс в точке -1, следовательно, система находится на границе устойчивости.
-
K =150
Пересечение кривой оси абсцисс происходит после точки -1, следовательно, система неустойчива.
-
Анализ скорректированной системы
Определим параметры корректирующего звена:
Фазовый портрет и временной график:
Графики анализируемой системы:
Рис. 7: ЛАХ, ФЧХ (зеленый, красный: Y1 – вход; Y3 – выход. Черный, синий: Y1 – вход; Y2 - выход)
Кривая пересекает точку (-1; 0), следовательно, система находится на границе устойчивости.
Кривая пересекает начало координат, следовательно, система находится на границе устойчивости.
Данная САУ являлась астатической САУ с астатизмом 1-го порядка. В систему было введено дополнительное корректирующее звено (интегро-дифференцирующее), которое улучшило её устойчивость. В результате была получена скорректированная САУ.
Рис. 8:Интегро-дифференцирующее корректирующее звено
Характеристики
Тип файла документ
Документы такого типа открываются такими программами, как Microsoft Office Word на компьютерах Windows, Apple Pages на компьютерах Mac, Open Office - бесплатная альтернатива на различных платформах, в том числе Linux. Наиболее простым и современным решением будут Google документы, так как открываются онлайн без скачивания прямо в браузере на любой платформе. Существуют российские качественные аналоги, например от Яндекса.
Будьте внимательны на мобильных устройствах, так как там используются упрощённый функционал даже в официальном приложении от Microsoft, поэтому для просмотра скачивайте PDF-версию. А если нужно редактировать файл, то используйте оригинальный файл.
Файлы такого типа обычно разбиты на страницы, а текст может быть форматированным (жирный, курсив, выбор шрифта, таблицы и т.п.), а также в него можно добавлять изображения. Формат идеально подходит для рефератов, докладов и РПЗ курсовых проектов, которые необходимо распечатать. Кстати перед печатью также сохраняйте файл в PDF, так как принтер может начудить со шрифтами.















