teoriya (744853), страница 2
Текст из файла (страница 2)
В зависимости от факторов роста строятся модели экономического роста. Их две: многофакторная и двухфакторная.
Многофакторная модель предполагает воздействие нарост всех перечисленных факторов. Общее представление о взаимодействии всех этих факторов дает кривая производственных возможностей. Она показывает, как разное сочетание факторов воздействует на количество вариантов производимой продукции.
Двухфакторная модель включает только труд и капитал. Возможны два варианта построения двухфакторной модели: в первой НТП не учитывается; во второй – учитывается. Если НТП отсутствует, то постепенное накопление капитала приведет к снижению конечной продуктивности и к замедлению экономического роста. В условиях использования НТП капитал и труд становятся более продуктивными – НТП вызывает рост инвестиций. Инвестиции могут по разному воздействовать на экономический рост. Одни из них ведут к экономии затрат труда и к росту затрат в капитал. Их называют трудосберегающими. Другие инвестиции сокращают приложение капитала в большей степени, чем труда. Их называют капиталосберегающими. При равной экономии труда и капитала инвестиции называются нейтральными.
1.5.Теоретический анализ экономического роста.
Под экономическим ростом понимается увеличение реального объема национального производства в долгосрочном периоде, когда изменяются факторы производства. Экономический рост измеряется:
1)темпами прироста ВНП (ВВП)
2)темпами прироста национального дохода на душу населения
Равновесный экономический рост – экономический рост, при котором реальный объем национального производства и объем применяемого труда и капитала растут одинаковым постоянным темпом. Множество равновесных состояний, которые реальная экономика может проходить в течение долгосрочного периода, называется равновесной траекторией развития (рис.1) Развитие реальной экономики, как правило осуществляется не по траектории, а в результате колебаний вокруг нее. Основной задачей при исследовании экономического роста является теоретическое изучение равновесных траекторий и факторов, определяющих их характер. Различают устойчивый и неустойчивый вид траекторий.
1.При устойчивой равновесной траектории (рис.2): если экономика находится на этой траектории, то она будет развиваться по ней сколь угодно долго, если не будет каких-либо экзогенных шоков.
2.При отклонении от траектории экономика будет вновь стремиться к состоянию равновесия, где бы она не находилась. При этом государственное вмешательство в регулирование не требуется.
3.при неустойчивой равновесной траектории (рис.3): если в результате экзогенных факторов произойдет отклонение от траектории, то в процессе развития экономика будет все больше и больше откланяться от траектории.
Теорию неустойчивого равновесия исследует Кейнсианское направление.
Кейнсианские модели построены на следующих постулатах:
-
экономический рост связан с процессом накопления;
-
факторы производства не взаимозаменяемы;
-
I=S
-
рост национального дохода определяется только нормой накопления капитала;
-
цены гибкие;
-
ожидания субъектов статичны;
-
капиталоемкость определяется лишь техническими условиями производства.
Модель Харрода.
Основное назначение – выработать условия по обеспечению равновесного роста. В модели представлены домашние хозяйства и фирмы.
Харрод предложил формулу:
S=Cr x Gw , где
S – сбережения;
Сr – капиталоемкость;
Gw – темп роста НД в длительном периоде.
Из этой формулы выводится уравнение динамического равновесия. Если величина капиталоемкости постоянна, доля S в длительном периоде имеет тенденцию оставаться постоянной. Тогда темп роста НД тоже будет постоянен: Gw =S/Cr.
Темп роста, обеспечивающий динамическое равновесие, Харрод назвал гарантированным темпом роста. Он обеспечивает полное использование всего прироста капитала. Харрод отметил так же естественный темп роста капитала, при котором уровень инвестиционных расходов достаточе для обеспечения рабочими местами всего прироста трудовых ресурсов. Если гарантированный темп меньше естественного, то инвестирование возможно. Повышение фактического темпа над гарантированным может привести к отклонению от динамического равновесия. Если гарантированный темп выше естественного, то прирост населения недостаточен, чтобы создать динамическое равновесие. Если фактический темп роста ниже гарантированного, то это приведет к падению объемов производства.
Модель Домара.
Назначение ее в том, чтобы определить величину инвестиций и ее рост и тем самым сделать прирост дохода равным приросту производственных мощностей. Прирост совокупного спроса в текущем периоде предопределяется приростом инвестиций в текущем периоде ( ADt= It/Sy).
Прирост предложения благ в текущем периоде обеспечивается приростом инвестиций в предыдущем периоде ASt= I t-1 , где - константа, называемая коэффициентом капиталоотдачи.
Таким образом, Sy= I t/I t-1 представляет условие динамического равновесия. Если темп прироста инвестиций будет равен произведению предельной производительности капитала и предельной склонности к сбережению, то рост будет равномерным. Поскольку, устойчивость динамического равновесия зависит от решения предпринимателей, инвестиционный спрос которых нестабилен, то для достижении динамического равновесия необходимо вмешательство государства.
Классическое направление исследует теорию устойчивой равновесной траектории.
Основные постулаты данного направления:
-
каждый фактор производства обеспечивает соответствующую долю произведенного продукта;
-
экономика обладает необходимыми предпосылками для автоматического восстановления в процессе свободной конкуренции.
При этом:
-
исследуется роль отдельных факторов роста с позиции количественного подхода (рост численности рабочих, основного капитала);
-
изучаются факторы производства в свете качественного подхода ( научные достижения, совершенствование образования, улучшения размещения организации производства.)
Инструментом анализа является производственная функция:
Y = W 1 L + W 2 K + W 3 n + a , где:
Y – темп прироста совокупного продукта;
W 1, W 2 , W 3 – доля L, K и природных ресурсов в совокупном продукте;
L, K, n – темп роста затрат труда, капитала, природных ресурсов;
А – темп роста научно-технического прогресса.
Цель анализа – выбор наиболее эффективной структуры и определение оптимального направления экономического роста.
Модель Солоу
Наиболее простая модель экономического роста в классическом направлении. Экономическими субъектами являются домохозяйства и фирмы. В качестве постоянных параметров рассмотрим: долю работающих в общей численности населения, темп роста населения ( N/N=n), доля амортизации – dK, удельный вес сбережений в национальном доходе Sy. Поскольку все факторы производства взаимозаменяемые, то капиталовооруженность меняется в различные временные лаги.
В условиях, когда технология производства неизменна, рассмотрим производственную функцию, отражающую изменение объема производства в расчете на душу населения:
y i =f (k t ), где
k t =K t /N t – капиталовооруженность труда на одного работника;
y t = Y t /N t – производительность труда в период t на одного работника.
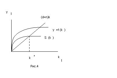
Бозовое уравнение накопления капитала в модели Солоу (рис.4)
k t = S y y t – (d+n)k t , где
k t - изменение капиталовооруженности труда в момент t
S y y t – доля сбережений на одного занятого в период t
nk t – прирост капитала, обусловленный приростом населения и занятых
dk t – доля обновляемого капитала на одного занятого в период t
В модели отражается концепция устойчивого стационарного состояния, когда при отсутствии технического прогресса и постоянной доли обновляемого капитала равновесие обеспечивает некоторый равновесный уровень капиталовооруженности (k t ); при динамическом равновесии прирост капиталовооруженности должен быть равен нулю. Тогда S y f(k t ) = ( d=n) k t .
Любое изменение удельного объема сбережений, связанное с приростом населения, должно соответствовать удельному приросту инвестиций S t / N t = I t / N t . Данное условие соответствует динамическому равновесию при полной занятости.
Из модели Солоу можно выделить ряд положений, которые выступают либо условиями экономического роста, либо критериями оптимальности.
-
При устойчивом состоянии темп экономического роста определяется темпом роста трудовых ресурсов.
-
Технологические изменения в модели приводят к увеличению темпов экономического роста.
-
Уровень сбережений оказывает влияние на темпы роста в коротком периоде, в долгосрочном периоде, как правило, этого влияния может не быть.
-
Критерием оптимальности темпов экономического роста служит максимизация среднедушевого потребления ( «Золотое правило» накопления). Экономический рост является эффективным, только если он приводит к максимальному из возможных уровней потребления. Однако, выбирая наибольшее потребление, необходимо найти варивнты, которые не нарушают устойчивости стационарного состояния.
-
Для обеспечения оптимальных темпов экономического роста вся прибыль должна быть задействована в производстве.
Глава 2. Экология и экономика.
2.1.Экологизация экономики
Самую идеальную экономику невозможно представить себе без отходов и НИВС (неосознанные человеком изменения внешней среды). Прекратить данный процесс нельзя, можно лишь замедлить его или ускорить. Если объемы формирующихся отходов, их токсичность и скорость превращения в НИВС растут, то обострение экологических проблем неизбежно. Можно выделить две формы экологизации:
-
воздействие на общеэкономические пропорции до превращения отходов в НИВС
-
воздействие на них после такого превращения.
Экологизация включает в себя следующие элементы:
-
экологизация рабочей силы (ЭРС)
-
экологизация изменения внешней среды (ЭИВС)
-
экологизация производственных отношений (ЭПО)
ЭРС – самый важный элемент экологизации, он предполагает следующие методы:
- рост способности получать и перерабатывать экологическую информацию
- экологическое преобразование и просвещение
- экологическое воспитание
В методах ЭИВС выделяют:
- ресурсосберегающие технологии (снижение материалоемкости продукции, безотходные и малоотходные технологии)
- природоохранные технологии (выявление, складирование, утилизация отходов)
ЭПО предполагает:
- перераспределение объектов собственности между хозяйствующими субъектами
- изменение характера управления объектами собственности.
Единой оценки экологизации экономики в обществе нет, и наверное никогда не будет. Преобладают полярные точки зрения.
1.Экологические проблемы – неизбежное зло, решать их надо так же, как и экономические.
2. Экологизация экономики – единственное спасение человечества от катастрофы, и ради него можно пойти на любые меры.
Представляется, что истина лежит где-то посередине, универсальной формулы экономической эффективности не существует.
2.2. Экологические ограничения развития экономики.
Особенностью современного производства является то, что технология все больше удаляется от использования природных материалов и циклов естественного круговорота веществ в природе. В процессе производства и потребления в окружающую природную среду вносятся огромные, все возрастающие количества таких веществ, которые чужды биогеохимии экологических систем и природных ландшафтов – синтетических пластиков, детерогентов, фреонов, пестицидов. Вместе с ксенобиотиками в окружающую среду попадают и биогенные элементы в количествах, превосходящих ассимиляционную и самоочищающую способность природных систем.
Антропогенное воздействие можно сгруппировать по следующим видам загрязнений:
















