1chast (743082), страница 3
Текст из файла (страница 3)
Кредиторська заборгованість є зобов'язанням перед контрагентами: постачальниками - за отримані товарно-матеріальні цінності та надані послуги, робітниками і службовцями - щодо оплати праці, бюджетом - щодо відрахувань з прибутку та інших платежів. Різного роду фонди і резерви - це зобов'язання адміністрації перед колективом підприємства загалом щодо виробничого і соціального розвитку.
У процесі господарської діяльності засоби підприємства або зростають (на суму отриманого прибутку), або зменшуються (на суму отриманих збитків). Врівноваження активу і пасиву балансу здійснюється шляхом введення в пасив статті "Прибуток" або в актив статті "Збитки". Отже, прибуток можна трактувати як суму власних засобів підприємства, що зростають, а збитки - як суму власних засобів, які "проїли".
З короткого аналізу структури балансу можна зробити висновок, що баланс став більш наочним, і - що особливо - пристосованим для вирішення тих завдань, які постали перед аналізом фінансового стану в ринкових умовах. При колишній методиці аналізу вирішальну роль відігравали порівняння значень статей і розділів балансу з їх нормативними величинами, виявлення причин відхилень від нормативу, виявлення впливу цін на стійкість фінансового стану підприємства. Однією із найважливіших особливостей фінансової звітності, застосовуваної нині, є відсутність у ній планових показників та нормативів. В умовах ринку планування втрачає риси централізованого адміністративного керівництва підприємством, а служить передусім виробленню гнучкої стратегії і тактики господарської поведінки підприємства, що прагне зміцнити своє становище при швидкій мінливості ринкової кон'юнктури.
Аналіз фінансового стану за звітний період починається з його загальної оцінки за даними балансу. Для того, щоб аналізувати всі перелічені вище моменти, необхідним етапом, що передує проведенню аналізу, є приведення звітного балансу в таку форму, що, з одного боку робить можливим об'єктивний аналіз, а з другого боку, є максимально зручним для проведення аналітичних розрахунків. Згідно з діючими нормативними документами, баланс зараз складається з оцінки нетто, він уже позбавлений основних регулюючих статей. Для сучасного аналізу можна користуватися одним із трьох засобів:
-
Провести аналіз безпосередньо за балансом без попередньої модифікації балансових статей;
-
Побудувати згрупований аналітичний баланс (таблиця 1.4.1.), поєднавши однорідні за складом елементи балансових статей. Таке перегрупування балансу можна виконати різноманітними засобами, навіть об'єднанням статей різних розділів;
-
Провести додаткову чистку балансу від наявних у ньому регулятивів з наступним об'єднанням статей в необхідному розрізі.
В таблиці 1.4.1. наведено один із варіантів побудови згрупованого балансу – нетто, за яким можна визначити загальну суму фінансових ресурсів підприємства (підсумок активу балансу на кінець звітного періоду). По цьому балансу необхідно уточнити також оцінку майна підприємства (підсумок активу балансу /Бн/, для чого необхідно здійснити такий розрахунок: підсумок балансу /Бн/ = підсумок балансу - резерв по сумнівних боргах - резерв майбутніх платежів - доходи майбутніх періодів - збитки минулих років - збитки звітного року).
Таблиця 1.4.1 - Згрупований баланс нетто.
| № п/п | АКТИВ | на початок року | на кінець року |
| 1 | Основні засоби, необоротні активи. | ||
| основні засоби і нематеріальні активи | |||
| капітальні та фінансові вкладення | |||
| Всього за розділом 1 | |||
| 2 | Запаси і затрати | ||
| виробничі запаси та незавершене вир-во | |||
| готова продукція | |||
| товар за собівартістю | |||
| інші запаси і витрати | |||
| Всього за розділом 2 | |||
| 3 | Грошові кошти, розрахунки, інші активи | ||
| грошові кошти | |||
| короткострокові фінансові вкладення | |||
| розрахунки з дебіторами | |||
| інші активи | |||
| Всього за розділом 3 | |||
| БАЛАНС | |||
| № п/п | ПАСИВ | на початок року | на кінець року |
| 1 | Джерела власних засобів | ||
| статутний фонд | |||
| спеціальні фонди і цільове фінансування | |||
| нерозподілений прибуток | |||
| інші джерела | |||
| Всього за розділом 1 | |||
| 2 | Довгострокові пасиви | ||
| довгострокові пасиви банку | |||
| довгострокові позики | |||
| Всього за розділом 2 | |||
| 3 | Розрахунки та інші пасиви | ||
| короткострокові позички та позики | |||
| розрахунки з кредиторами | |||
| інші пасиви | |||
| Всього за розділом 3 | |||
| БАЛАНС | |||
Отриманий результат показує реальну вартість майна підприємства. Реальна оцінка активів і пасивів балансу необхідна передусім банку для впевненості в кредитоспроможності підприємства, якому він пропонує кредит, а також підприємствам, що вступають в економічні відносини.
Для аналізу наступних питань фінансового стану необхідно продовжити перегрупування статей балансу з тим, щоб одержані результати були зручні для проведення аналітичних розрахунків.
Перегрупування статей балансу в активі проводиться за ступенем зменшення ліквідності активів, а пасивів - за ступенем зростання термінів погашення зобов'язань.
1.5. Методика аналізу балансового прибутку.
Аналізуючи "Звіт про фінансові результати" підприємства необхідно велику увагу звернути на аналіз балансового прибутку підприємства. Балансовий прибуток характеризує фінансовий результат усіх видів господарської діяльності підприємства. Аналіз балансового прибутку проводиться шляхом зіставлення фактично одержаного балансового прибутку за звітний період із даним за минулий рік. При цьому детально аналізуються складові частини балансового прибутку, вивчаються напрямки їх розвитку за звітний період, аналізується структура прибутку за звітний рік
Після загальної оцінки стану балансового прибутку на підприємстві необхідно перейти до факторного аналізу прибутку. Як було зазначено вище, на зміну балансового прибутку впливає зміна складових частин балансового прибутку, які одночасно є і факторами.
На зміну балансового прибутку впливають такі фактори:
де
- результат від реалізації відповідно у звітному і базовому році.
В свою чергу прибуток від реалізації продукції можна розбити на ряд додаткових факторів:
1.1. Зміна обсягу реалізованої продукції:
де ПСпер і ПСб – повна собівартість перерахована та базового рокувідповідно;
1.2. Зміна структури реалізованої продукції:
де
- перерахований результат від реалізації продукції.
1.3. Зміна повної собівартості реалізованої продукції:
де ПС3 - повна собівартість звітного року.
1.4. Зміна цін на реалізовану продукцію:
де Вз, Впер - виручка від реалізації за відрахуванням ПДВ, акцизів та інших податків у звітному році та перерахованої величини.
-
Зміна прибутку від іншої реалізації продукції, робіт, послуг. Необхідно взяти суму фактичного прибутку (збитків) від іншої реалізації;
-
Зміна позареалізаційних результатів. Необхідно взяти окремо за звітний період суму позареалізаційних доходів і окремо суму збитків: різниця між ними покаже розмір збільшення (зменшення) балансового прибутку.
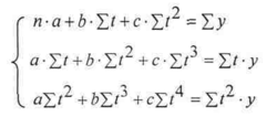
Також важливим моментом аналізу балансового прибутку є його прогнозування на наступний період. Для цього необхідно провести екстраполяцію балансового прибутку. Суть екстраполяції полягає у наступному: спочатку робиться вирівнювання значень прибутку по прямій і по параболі; потім знаходиться середньо-квадратичне відхилення значень по прямій і по параболі. Якщо середньо-квадратичне відхилення по параболі менше за середньо-квадратичне відхилення по прямій, то в якості рівняння, по якому буде здійснюватись екстраполяція буде рівняння параболи.
Рівняння прямої виглядає так: y=a+b*t (1.5.6)
Рівняння параболи виглядає так: y=a+b*t+c*t2 (1.5.7)
де а,b,с- коефіцієнти рівняння.
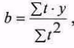
Значення а, b для рівняння прямої визначаються вирішенням наступної системи рівнянь:
Коефіцієнти рівняння визначаються так:
(1.5.8)
де y – це фактичне значення балансового прибутку;
n — кількість фактичних значень балансового прибутку;
Значення а, b, с для рівняння параболи визначаються вирішенням наступної системи рівнянь:
де
, а всі решта значень (тобто а, с) визначаються складанням нової системи рівнянь, але в якій вже буде визначене значення b.
Після цього необхідно визначити середньоквадратичне відхилення (дисперсію):
де Уфакт і Урозр - фактичне і розрахункове значення балансового прибутку.
Після даних розрахунків доцільно графічно показати зміну балансового прибутку за аналізований період, а також вирівняні значення балансового прибутку по прямій і по параболі.
1.6. Ліквідність і платоспроможність підприємства.
Фінансовий стан підприємств можна оцінювати з точки зору його короткострокової і довгострокової перспектив. У короткостроковій перспективі критерієм оцінки фінансового стану підприємства є його ліквідність і платоспроможність, тобто спроможність своєчасно і в повному обсязі розрахуватися по короткострокових зобов'язаннях. Термін "ліквідний" передбачає безперешкодне перетворення майна в гроші. Ліквідність підприємства — це його спроможність перетворювати свої активи в гроші для покриття всіх необхідних платежів у міру настання їх строку.
Найліквіднішою є готівка (або сальдо балансового рахунку). Наступним за ступенем ліквідності активом є короткострокові інвестиції (цінні папери), оскільки на випадок необхідності вони можуть бути швидко реалізовані в гроші.
Дебіторська заборгованість - теж ліквідний актив, оскільки передбачається, що дебітори оплатять рахунок у найближчому майбутньому.
Найменш ліквідним поточним активом є запаси, тому що для перетворення їх в гроші спочатку необхідно їх продати. Отже, під ліквідністю будь-якого активу слід розуміти можливість перетворення його в гроші, а ступінь ліквідності визначається тривалістю тимчасового періоду, протягом якого відбувається це перетворення. Чим коротший цей період, тим вищою є ліквідність даного виду активів.
Короткострокові зобов'язання — це борги, строк погашення яких не перевищує одного року. Коли настає строк платежу, в наявності у підприємства повинно бути достатньо грошей для сплати. Аналіз ліквідності балансу полягає в порівнянні коштів по активу, згрупованих за ступенем їх ліквідності і розташованих у порядку зменшення ліквідності з зобов'язаннями по пасиву, об'єднаними за строками їх погашення і в порядку зростання цих строків. Залежно від ступеня ліквідності, тобто швидкості перетворення в гроші, активи підприємства, як було зазначено вище, поділяються на групи:
-
найбільш ліквідні активи;
-
активи, що швидко реалізуються;
-
активи, що реалізуються повільно;
-
важкореалізовувані активи.
Пасиви групуються за ступенем строку їх оплати у три групи:
-
короткострокові пасиви;
-
довгострокові пасиви;
-
постійні пасиви.
Інформація, що характеризує величину поточних активів, наведена в II і III розділах активу балансу.















