166004 (740055), страница 2
Текст из файла (страница 2)
В таблице вы найдете больше примеров стероидов и возможных превращений.
Эстрогенная активность: эстрогенно не активен
Прогестагенная активность: нет данных (возможно низкая)
Мастерон- иньекционный препарат, содержащий действующее вещество дростанолон.
Дростаналон – производная дигидротестостерона, 2а-метил-дигидротестостерон.
В результате, у нас получается неароматизирующийся умеренный анаболик\мощный андроген, поэтому задержку воды и гинекомастию мы можем не брать в расчет.
Также он обладает антиэстрогенной активностью, примерно также как провирон. Культуристы находят этот стероид очень удобным для предсоревновательной подготовки.
Он улучшает внешний вид мускулов, усиливает их жесткость, прорисованность, снижает процент подкожного жира. Раньше этот препарат не ловился на допинг-контроле, но с начала 90-ых есть методика по выявлению его метаболитов моче.
Некоторые атлеты утверждают, что если прекратить прием мастерона за 3-4 недели до соревнований - можно пройти допинг-контроль, но надо иметь ввиду, что иньекционные эфиры могут по разному вести себя в разных организмах.
Хоть дигидротестостерон и не очень активен в мышечных тканях, 2альфа-метилирование очень усиляет его анаболические способности.
Мастерон- стероид для построения качественной массы. Наиболее хорошо будут видны его свойства, если применять его в связке с такими иньекционными препаратами, как нандролона деканоат\болденона ундесилинат.
Для большего роста массы, можно применять связки мастерона с метандростенолоном\эфирами тестостерона. Также мастерон может использоваться в предсоревновательной подготовке, в связке с винстролом\примоболаном\оксандролоном.
Пропионатный эфир держится в крови очень короткое время, всего лишь несколько дней, поэтому иньекции мастерона нужно производить хотя бы каждые 3-4 дня, для поддержания его уровня в крови. Дозировка составляет 200-350мг в неделю для мужчин.
Женщинам лучше не применять этот препарат ввиду его высокой андрогенности и возможных побочных эффектов вирилизации. Если же все-таки женщина-культуристка решится на его использование, дозировка должна быть ограничена 25-50 мг в неделю.
Мастерон не представляет вреда для печени, поэтому его можно использовать в длинных циклах. Единственные побочные эффекты- андрогенные (сальная кожа, акне, агрессивность, рост волос на теле и лице)
Проскар не поможет нам в случае мастерона, так как мастерон- искусственная производная дигидротестостерона. Также не рекомендуется применять этот стероид людям начинающим лысеть, так как мастерон может усилить выпадение волос.
На черном рынке препарат доступен, производится фирмами BD, в дозировке 100мг\мл, под названием мастабол. Мастабол выпускается в стеклянных бочонках, с красной или синей жестяной запечаткой+ непосредственно на пластиковой крышке должно быть выбито название продукта.
Также есть еще произведенный в Бирме дромостан, и еще множество других андеграундных продуктов.
Оксиметалон
Андрогенный индекс: 45
Анаболический индекс: 320
Хим. Название: 2-гидроксиметилен-17а-метил-дигидротестостерон
Эстрогенная активность: высокая
Прогестагенная активность: нет данных
Анадрол- американская торговая марка мощного орального андрогенного препарата- оксиметалона. Впервые был выпущен в 1960 году, компанией Syntex. Так как оксиметалон очень хорошо влияет на увеличение количества красных кровяных телец, препаратом заинтересовались в качестве средства для лечения анемии. В течении длительного времени оксиметалон использовался для лечения этого нарушения, вплоть до появления более безопасного эритропоэтина, который увеличивает количество красных кровяных телец, но без андрогенных побочек. Syntex прекратила его выпуск в 1993 году, ввиду его финансовой неокупаемости. Вскоре был прекращен его выпуск и в Австрии и в Швейцарии, а также в Испании. Но в связи распространением СПИДа, об оксиметалоне снова вспомнили. Теперь оксиметалон официально производится фирмой Unimed под названием анадрол.
Оксиметалон является одним из самых мощных аптечных стероидов. Новичок может при употреблении всего одной-двух таблеток в день в течении менее, чем 6 недель, может набрать 8-12кг массы. Большая из этого- набранная вода. В основном его использование – не для построения массы, а для смазки соединительных тканей, для повышения их эластичности и профилактики разрывов связок. Из-за его эстрогенных побочных эффектов, в течении курса рекомендуется использовать нольвадекс\кломид.
Важно отметить, что сам оксиметалон не ароматизируется. Оксиметалон – производная дигидротестостерона, с неароматизирующейся структурой. Но он имеет некоторую прогестагенную активность, также как нандролон, норэтандролон.
Также, из-за его прогестагенной активности, мы не можем использовать одновременно с ним ингибиторы ароматазы, а только рецепторные антагонисты, такие как нольвадекс\кломид. Цитадрен и аримидекс в этом случае бесполезны, так как ароматизации нет.
Также оксиметалон – очень сильный андроген, в результате чего возникают побочные эффекты в виде сальности кожи, акне, повышенного роста волос на теле и лице.
Ввиду очень высокой андрогенности, препарат не рекомендуется женщинам, так как может вызвать вирилизацию, еще до того как, вы примете какие-либо меры.
Надо отметить, что оксиметалон в небольшом количестве конвертируется в дигидротестостерон, но это не происходит через воздействие 5альфа редуктазой.
Структурно- оксиметалон это дигидротестостерон, с присоединенными в позиции 17-метильным радикалом, и в позиции 2- гидроксиметиленовой группы.
Принципиальный недостаток оксиметалона в том, что он 17 альфа алкилирован, что представляет опасность для печени. Это еще более усугубляет тем, что произоводится он в дозировке, намного большей, дозировка, в которой выпускает дианабол или станазолол.
Эта дозировка обьясняется тем, что он, в отличии от других стероидов, плохо связывается с андрогенными рецепторами. По медицинским показаниям, дозировка его должна составлять 1-5мг на килограмм веса больного, хотя это вызывает риск рака печени.
Атлеты не нуждаются в таких высоких дозировках, поэтому 50-150мг оксиметалона в день, в течении 4-6 недель. На курсе желательно следить за состоянием печени почек.
Из-за высокого скопления воды также необходимо контролировать кровяное давление.
После отмены препарата, может быть очень резкий спад и потеря веса, набранного на курсе, а так как оксиметалон вызывает сильное угнетение собственного тестостерона, не дожидаясь конца курса надо начинать прием ХГГ, параллельно с кломидом\нольвадексом.
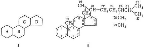
СТЕРОИДЫ, группа биологически важных прир. соед., в основе структуры к-рых лежит скелет циклопентанопер-гидрофенантрена (гонана, стерана; ф-ла I). Входят в состав всех растит. и животных организмов.
По номенклатуре ИЮПАК полная нумерация в стероидах производится так, как показано в ф-ле П. Если один или более атомов С отсутствуют, нумерация оставшейся части сохраняется. В формулах стероидов связи атомов или групп, располагающихся за плоскостью кольцевой системы (-конфигурация), изображают пунктирной линией, атомы и группы, располагающиеся перед плоскостью (-конфигурация), -жирной линией; связи с неопределенной конфигурацией обозначают волнистой линией. Назв. частично ненасыщенных стероидов производят от назв. насыщенных посредством окончания "ен". В названиях стероидов, содержащих внутри структуры трехчленное кольцо, вводится префикс "цикло" с цифровым указанием положения и стереохимией обозначения; общее назв. таких стероидов-циклостероиды.
Природные стероиды имеют транс- или цис-сочленение колец А и В, транс-сочленение колец В и С и обычно транс-сочленекие С и D. Циклогексановые кольца, как правило, находятся в энергетически выгодной конформации кресла. Большинство стероидов содержат гл. обр. группы СН3 у атомов С-10 и С-13, группу ОН (или кетогруппу) у атома С-3 и боковую цепь у атома С-17, содержащую до 8-10 атомов углерода.
В зависимости от структуры боковой цепи и наличия групп СН3 различают производные эстрана (ф-ла III), андростана (IV), прегнана (Vа), холана (Vб) и холестана (Vв).
В химии стероидов широко применяют также и тривиальные назв., напр. холест-5-ен-3-ол наз. холестерином, 3, 7, 12а-тригидрокси-24-карбокси-5-холан-холевой к-той.
Стероиды включают в себя стерты (стеролы), сапонины, стероидные алкалоиды, стероидные гормоны, желчные кислоты, желчные спирты, гликозиды сердечные, витамин D.
Все стероиды (подобно др. изопреноидам) объединяются одной схемой биогенеза: в живой клетке из уксусной k-ты через ацетилкофермент А и мевалоновую к-ту строятся изопрено-вые фрагменты -изопентенилпирофосфат и изомерный ему диметилаллилпирофосфат, к-рые путем конденсации образуют общий биогенетич. предшественник -сквален; эпоксид последнего при циклизации с послед. окислит. отщеплением неск. углеродных атомов превращается в стероид.
Стероиды выделяют из спинного мозга и желчи рогатого скота, из щелочного гидролизата дрожжей, растит. масел и животных жиров, отходов целлюлозно-бумажной пром-сти, синтезируют из неприродного сырья. Полный синтез осуществлен для мн. природных стероидов-холестерина, андрогенов, гестагенов, кортикостероидов, эстрогенов и др.
Стероиды-биол. регуляторы. Способность к биосинтезу стероидов наиб. выражена у высших позвоночных. Насекомые стероиды не вырабатывают, а получают с пищей, однако ф-ция их линьки контролируется стероидами
СТЕРОИДЫ, группа биологически важных прир. соед., в основе структуры к-рых лежит скелет циклопентанопер-гидрофенантрена (гонана, стерана; ф-ла I). Входят в состав всех растит. и животных организмов.
По номенклатуре ИЮПАК полная нумерация в стероидах производится так, как показано в ф-ле П. Если один или более атомов С отсутствуют, нумерация оставшейся части сохраняется. В формулах стероидов связи атомов или групп, располагающихся за плоскостью кольцевой системы (-конфигурация), изображают пунктирной линией, атомы и группы, располагающиеся перед плоскостью (-конфигурация), -жирной линией; связи с неопределенной конфигурацией обозначают волнистой линией. Назв. частично ненасыщенных стероидов производят от назв. насыщенных посредством окончания "ен". В названиях стероидов, содержащих внутри структуры трехчленное кольцо, вводится префикс "цикло" с цифровым указанием положения и стереохимией обозначения; общее назв. таких стероидов-циклостероиды.
Природные стероиды имеют транс- или цис-сочленение колец А и В, транс-сочленение колец В и С и обычно транс-сочленекие С и D. Циклогексановые кольца, как правило, находятся в энергетически выгодной конформации кресла. Большинство стероидов содержат гл. обр. группы СН3 у атомов С-10 и С-13, группу ОН (или кетогруппу) у атома С-3 и боковую цепь у атома С-17, содержащую до 8-10 атомов углерода.
В зависимости от структуры боковой цепи и наличия групп СН3 различают производные эстрана (ф-ла III), андростана (IV), прегнана (Vа), холана (Vб) и холестана (Vв).
В химии стероидов широко применяют также и тривиальные назв., напр. холест-5-ен-3-ол наз. холестерином, 3, 7, 12а-тригидрокси-24-карбокси-5-холан-холевой к-той.
Стероиды включают в себя стерты (стеролы), сапонины, стероидные алкалоиды, стероидные гормоны, желчные кислоты, желчные спирты, гликозиды сердечные, витамин D.















